文章
74
粉丝
0
获赞
0
访问
48.7k

评分及理由
(1)得分及理由(满分10分)
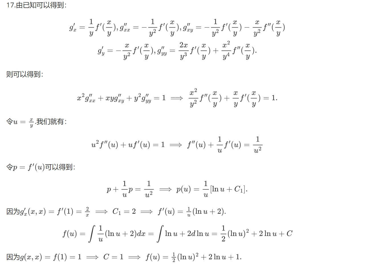
学生作答在两次识别中均正确推导出函数 \( f(u) \) 的表达式。具体分析如下:
尽管第一次识别中在 \( g_{xx}'' \) 的计算中出现符号错误(误写为 \( -\frac{1}{y^2}f'(\frac{x}{y}) \)),但后续代入方程时未使用此错误结果,而是正确推导出 \( \frac{x^2}{y^2}f''(\frac{x}{y}) + \frac{x}{y}f'(\frac{x}{y}) = 1 \),且第二次识别完全正确。根据禁止扣分规则,误写不扣分。整体逻辑完整,计算准确,符合满分标准。
得分:10分
题目总分:10分
登录后发布评论
暂无评论,来抢沙发