文章
74
粉丝
0
获赞
0
访问
48.7k

评分及理由
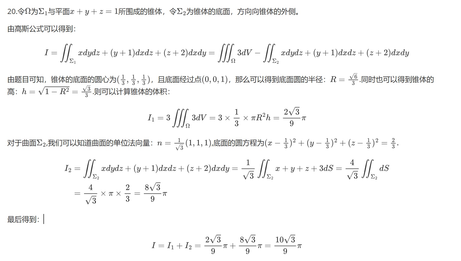
(1)高斯公式应用部分(满分3分)
学生正确地使用了高斯公式将曲面积分转化为三重积分,并考虑了补面操作,思路正确。但在具体表述中存在一些不严谨之处(如积分区域描述不清晰),但核心逻辑正确。得3分。
(2)三重积分计算部分(满分3分)
学生在计算三重积分时,对旋转曲面形成的几何体理解有误。标准答案中曲面是绕直线x=y=z旋转形成的圆锥面,而学生错误地将其视为一个球面的一部分,导致对积分区域Ω的判断完全错误。这是一个严重的逻辑错误,扣3分。得0分。
(3)补面积分计算部分(满分4分)
学生在计算补面积分时,由于对曲面形状的错误理解,导致计算过程完全错误。包括法向量的选取、投影区域的计算等都基于错误的几何认知。这是一个严重的逻辑错误,扣4分。得0分。
题目总分:3+0+0=3分
登录后发布评论
暂无评论,来抢沙发