文章
74
粉丝
0
获赞
0
访问
48.8k

评分及理由
(1)得分及理由(满分6分)
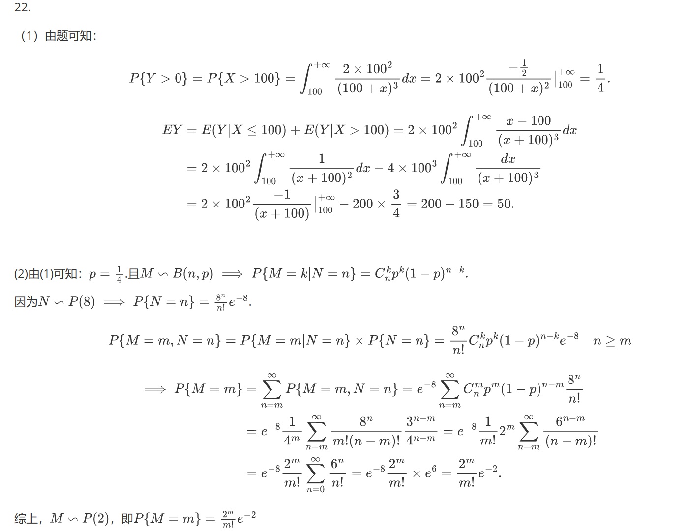
学生正确计算了 \(P\{Y > 0\} = \frac{1}{4}\) 和 \(EY = 50\),思路和结果与标准答案一致。虽然计算过程中有部分表达式书写不规范(如 \(E(Y|X \leq 100)\) 实际上应为0,但学生未明确写出,但最终结果正确),考虑到核心计算无误,不扣分。得6分。
(2)得分及理由(满分6分)
学生正确推导了 \(M\) 的概率分布,从条件概率出发,通过求和运算得到 \(P\{M = m\} = \frac{2^m}{m!} e^{-2}\),并指出 \(M \sim P(2)\),与标准答案完全一致。过程中变量符号有轻微不一致(如第一次识别中使用了 \(k\) 和 \(m\) 混用),但根据上下文判断为误写,不影响逻辑正确性。得6分。
题目总分:6+6=12分
登录后发布评论
暂无评论,来抢沙发