文章
449
粉丝
0
获赞
0
访问
219.2k

评分及理由
(1)得分及理由(满分4分)
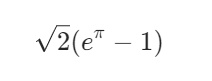
学生两次识别结果均为 \(\sqrt{2}(e^{\pi}-1)\),与标准答案完全一致。根据极坐标下弧长公式 \(L = \int_{\theta_1}^{\theta_2} \sqrt{r^2 + \left(\frac{dr}{d\theta}\right)^2} d\theta\),代入 \(r = e^\theta\) 得 \(r^2 + (dr/d\theta)^2 = e^{2\theta} + e^{2\theta} = 2e^{2\theta}\),开方后为 \(\sqrt{2}e^\theta\),积分区间 \([0, \pi]\) 的弧长为 \(\sqrt{2}(e^\pi - e^0) = \sqrt{2}(e^\pi - 1)\)。计算过程和结果均正确,因此得满分4分。
题目总分:4分
登录后发布评论
暂无评论,来抢沙发