文章
449
粉丝
0
获赞
0
访问
219.5k

评分及理由
(1)得分及理由(满分4分)
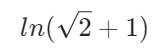
学生作答的两次识别结果均为 \(\ln(\sqrt{2}+1)\),与标准答案完全一致。根据弧长公式 \(s = \int_{0}^{\pi/4} \sqrt{1 + (y')^2} dx\),其中 \(y' = \tan x\),代入得 \(s = \int_{0}^{\pi/4} \sqrt{1 + \tan^2 x} dx = \int_{0}^{\pi/4} \sec x dx\)。计算该积分得 \(\ln |\sec x + \tan x| \Big|_{0}^{\pi/4} = \ln(\sqrt{2} + 1)\),过程正确。因此得4分。
题目总分:4分
登录后发布评论
暂无评论,来抢沙发