文章
449
粉丝
0
获赞
0
访问
219.5k

评分及理由
(1)得分及理由(满分10分)
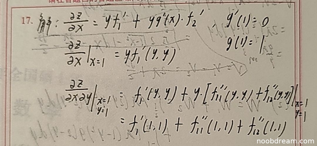
学生作答中,第一次识别结果和第二次识别结果基本一致,主要差异在于第二次识别更清晰地写出了二阶偏导数的符号。我们以第二次识别结果为准进行评分。
步骤分析:
关键错误:在最后结果中多出了一项 \(f_{12}''(1,1)\)。标准答案为 \(f_1'(1,1) + f_{11}''(1,1)\)。这是因为在计算 \(\frac{\partial}{\partial y}[f_1'(xy, yg(x))]\) 时,当 \(x=1\) 且 \(g(1)=1\),第二变量为 \(y \cdot 1 = y\),所以 \(f_1'\) 的两个变量都是 \(y\),求偏导时链式法则应为 \(\frac{\partial f_1'}{\partial y} = f_{11}'' \cdot x + f_{12}'' \cdot g(x)\),代入 \(x=1, g(1)=1\) 后为 \(f_{11}''(1,1) \cdot 1 + f_{12}''(1,1) \cdot 1\),但这里学生似乎错误地认为第二变量是常数或错误应用了链式法则,实际上在 \(x=1\) 时,\(f_1'(y,y)\) 对 \(y\) 求导应为 \(f_{11}''(y,y) \cdot 1 + f_...
登录后发布评论
暂无评论,来抢沙发