文章

72

粉丝

0

获赞

5

访问

43.0k

头像
2008年考研数学(二)考试试题 - 第16题回答
高等数学
发布于2025年10月5日 15:15
阅读数 617


评分及理由

(1)得分及理由(满分10分)

学生作答分为两个识别结果,但内容实质相同。我们按步骤分析:

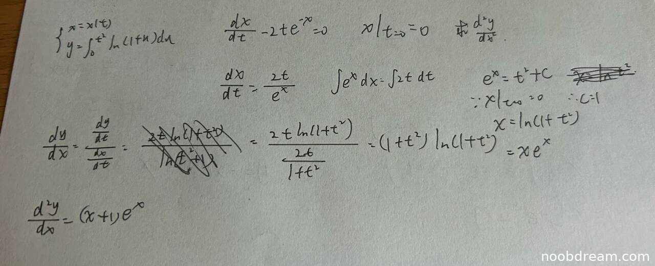
  • 第一步:求解微分方程得到 \(x = \ln(1+t^2)\)。学生正确分离变量并积分,利用初始条件确定常数 \(C=1\),得到正确结果。此步无误。
  • 第二步:计算一阶导数 \(\frac{dy}{dx}\)。学生正确应用参数方程求导公式,得到 \(\frac{dy}{dx} = (1+t^2)\ln(1+t^2)\),并进一步利用 \(x = \ln(1+t^2)\) 的关系,将其表示为 \(\frac{dy}{dx} = x e^x\)。此步无误。
  • 第三步:计算二阶导数 \(\frac{d^2y}{dx^2}\)。学生直接对 \(\frac{dy}{dx} = x e^x\) 关于 \(x\) 求导,得到 \(\frac{d^2y}{dx^2} = (x+1)e^x\)。这是正确的,因为此时 \(\frac{dy}{dx}\) 已表示为 \(x\) 的函数,直接求导即可。标准答案中是通过参数方程求二阶导数公式得到 \(\frac{d^2y}{dx^2} = (1+t^2)[\ln(1+t^2)+1]\),但利用 \(x = \ln(1+t^2)\) 即 \(e^x = 1+t^2\),以及 \(\ln(1+t^2) = x\),代入可得 \((1+t^2)[\ln(1+t^2)+1] = e^x (x+1)\),与学生答案一致。因此,学生的思路和结果均正确。

根据评分要求,思路正确不扣分,计算无误,逻辑正确。因此,本题得分为满分10分。

题目总分:10分

登录查看完整内容


登录后发布评论

暂无评论,来抢沙发