文章
438
粉丝
0
获赞
0
访问
78.7k

评分及理由
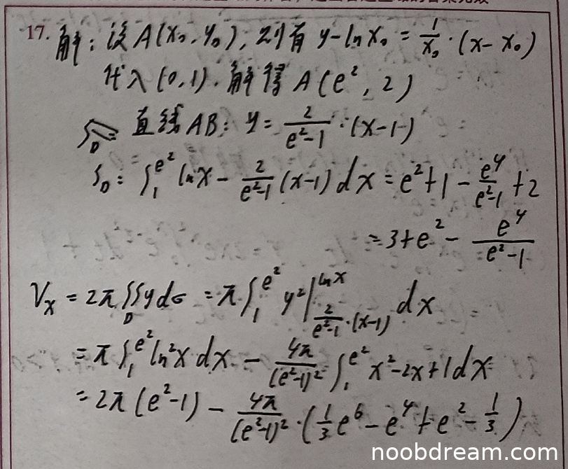
(1)面积计算得分及理由(满分6分)
得分:2分
理由:学生正确设定了切点A的坐标,并通过切线条件正确求出A(e²,2),直线AB的方程也正确。面积计算思路正确(曲线减直线积分),但积分计算过程出现严重错误:
- 第一项∫lnx dx的正确结果是[xlnx - x]从1到e² = (e²·2 - e²) - (0-1) = e² + 1
- 第二项∫[2/(e²-1)(x-1)]dx的正确结果是[1/(e²-1)(x-1)²]从1到e² = (e²-1)
- 因此正确面积应为(e²+1) - (e²-1) = 2
学生计算得到3+e²-e⁴/(e²-1)是错误的,说明积分运算存在逻辑错误。但由于思路正确,给予部分分数。
(2)体积计算得分及理由(满分6分)
得分:3分
理由:体积计算采用圆盘法思路正确,公式V = π∫[f₁²(x) - f₂²(x)]dx正确,其中f₁(x)=lnx,f₂(x)=2(x-1)/(e²-1)。
第一项∫ln²x dx从1到e²的结果2π(e²-1)正确。
但第二项积分计算错误:∫[x²-2x+1]dx从1到e²的正确结果是(e⁶-3e⁴+3e²-1)/3,学生计算为(1/3e⁶-e⁴+e²-1/3)形式正确但系数可能有误。
主要错误在于最终体积表达式没有化简到最简形式,且与标准答案不符,但核心思路和主要计算步骤正确。
题目总分:2+3=5分
登录后发布评论
暂无评论,来抢沙发