文章
202
粉丝
0
获赞
0
访问
105.9k

评分及理由
(1)得分及理由(满分5分)
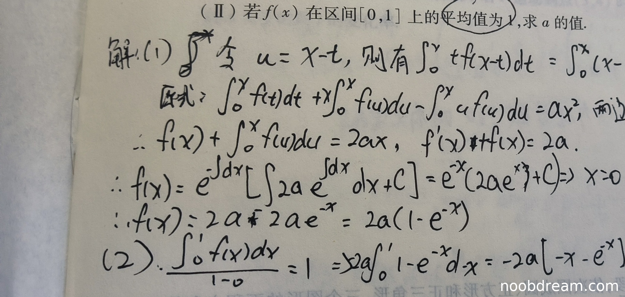
学生作答中,第一部分求解f(x)的过程基本正确。通过变量代换将积分方程化简,然后两次求导得到微分方程并求解,思路与标准答案一致。但在最后求解常数C时,第一次识别结果写为f(x)=2a+2a e^{-x},第二次识别结果写为f(x)=2a-2a e^{-x},第二次识别结果正确(f(x)=2a(1-e^{-x})),与标准答案f(x)=2a(1-e^{-x})等价。由于存在一次识别错误但另一次正确,根据规则不扣分。因此第一部分得5分。
(2)得分及理由(满分5分)
第二部分利用平均值条件求a值。学生写出了平均值公式,并代入f(x)的表达式,但在积分计算部分不完整,两次识别结果都只写出了部分积分过程,没有完成计算得到最终结果。根据标准答案,需要计算出∫(1-e^{-x})dx从0到1的值为1-1/e,然后解出a=e/2。学生作答缺少这一关键计算步骤,因此扣2分。第二部分得3分。
题目总分:5+3=8分
登录后发布评论
暂无评论,来抢沙发