文章

149

粉丝

0

获赞

1

访问

80.4k

头像
2013年考研数学(一)考试试题 - 第15题回答
高等数学
发布于2025年10月7日 14:50
阅读数 543


评分及理由

(1)得分及理由(满分10分)

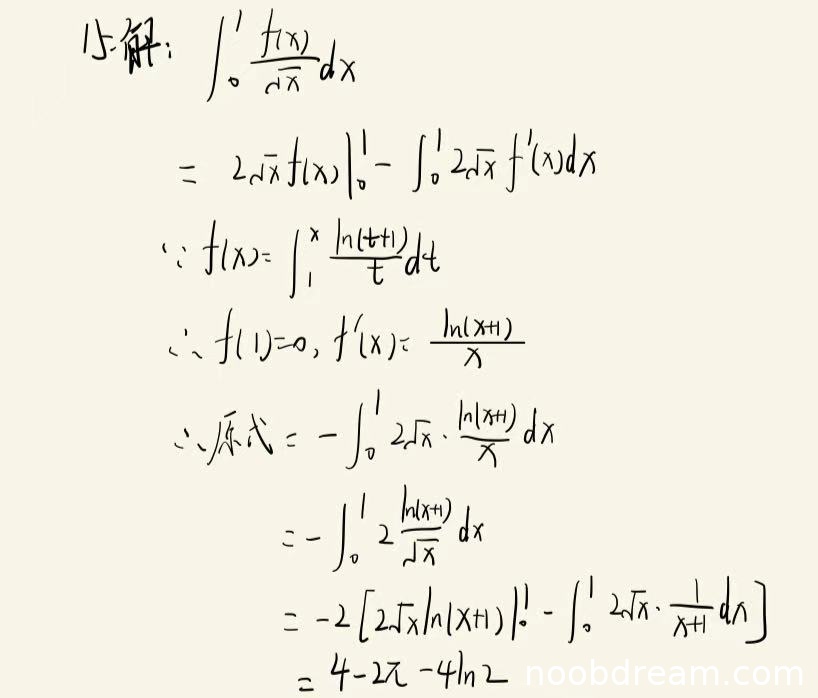
学生作答整体思路正确,使用了分部积分法,并正确求出了f(1)和f'(x)。但在第二次分部积分时出现了系数错误:

  • 第一次识别结果中,在第二次分部积分时写成了-2[2√xln(x+1)|₀¹ - ∫₀¹2√x·1/(x+1)dx],这里系数2有误
  • 第二次识别结果中,在第二次分部积分时写成了-2[4√xln(x+1)|₀¹ - ∫₀¹4√x·1/(x+1)dx],这里系数4有误
  • 正确的应该是-4[√xln(x+1)|₀¹ - ∫₀¹√x/(x+1)dx]

虽然最终计算结果正确(4-2π-4ln2),但中间步骤存在系数错误,属于逻辑错误。考虑到整体思路正确且最终结果正确,扣2分。

得分:8分

题目总分:8分

登录查看完整内容


登录后发布评论

暂无评论,来抢沙发