文章
134
粉丝
0
获赞
1
访问
16.8k

评分及理由
(1)得分及理由(满分5分)
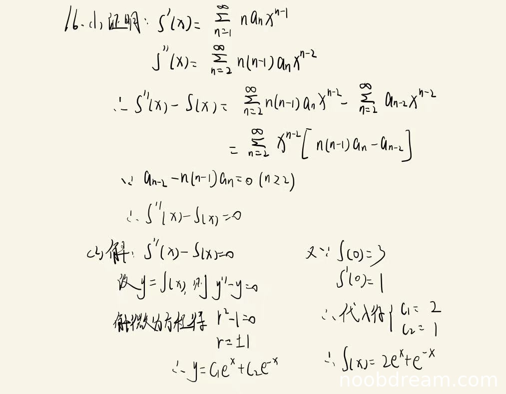
学生正确写出了S'(x)和S''(x)的表达式,在计算S''(x)-S(x)时,虽然写法与标准答案略有不同(将S(x)写成∑a_{n-2}x^{n-2}的形式),但通过合理的指标变换,最终得到了S''(x)-S(x)=∑[n(n-1)a_n - a_{n-2}]x^{n-2},并利用已知递推关系证明了S''(x)-S(x)=0。证明过程完整且逻辑正确。
得分:5分
(2)得分及理由(满分5分)
学生正确求解微分方程S''(x)-S(x)=0,得到特征方程r²-1=0,求出特征根r=±1,写出通解形式S(x)=C₁e^x+C₂e^(-x)。然后利用初始条件S(0)=3和S'(0)=1建立方程组,正确解出C₁=2,C₂=1,最终得到S(x)=2e^x+e^(-x)。计算过程完整正确。
得分:5分
题目总分:5+5=10分
登录后发布评论
暂无评论,来抢沙发