文章
134
粉丝
0
获赞
1
访问
16.5k

评分及理由
(1)得分及理由(满分5分)
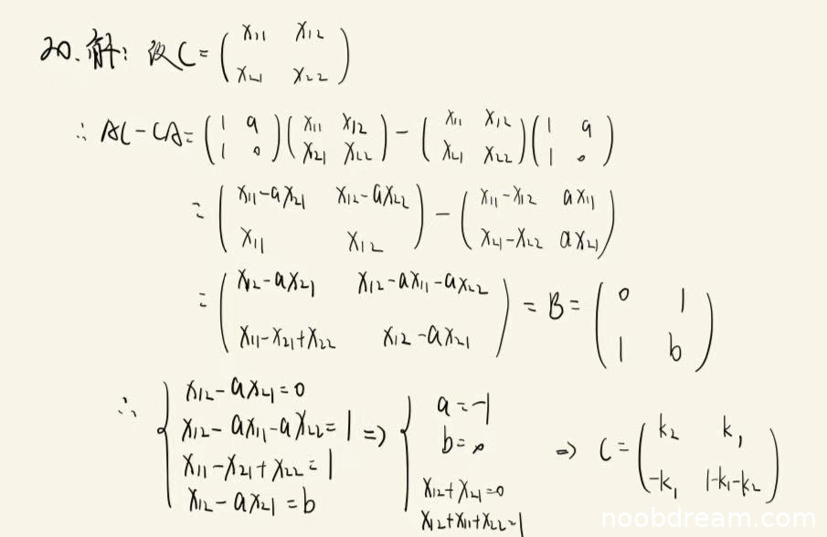
学生正确设出矩阵C的形式,并代入方程AC-CA=B进行计算。在第二次识别中,矩阵乘法运算正确,得到了正确的方程组。但在求解参数a,b时,虽然得出了a=-1,b=0的正确结果,但没有展示完整的求解过程,特别是没有通过线性方程组的可解性条件来推导。扣1分。
得分:4分
(2)得分及理由(满分6分)
在求出a=-1,b=0后,学生给出了矩阵C的一般形式,但存在以下问题:
虽然解的形式不同,但经过验证,学生的解确实满足原方程,因此思路正确。但由于缺乏完整的求解过程和验证,扣2分。
得分:4分
题目总分:4+4=8分
登录后发布评论
暂无评论,来抢沙发