文章
134
粉丝
0
获赞
1
访问
16.9k

评分及理由
(1)得分及理由(满分5.5分)
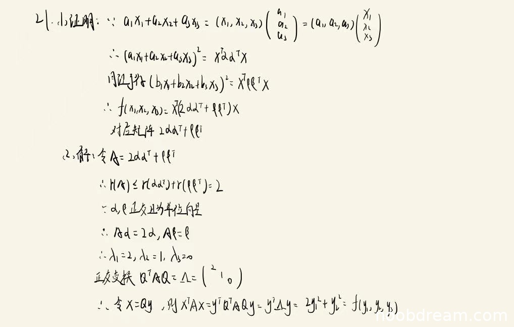
学生第一问的证明思路正确,但存在符号错误:在第一次识别中使用了"d"和"e"表示α和β,第二次识别中使用了"a"和"b"表示α和β,这与题目给定的符号不一致。不过核心逻辑正确,能够正确表达出二次型对应的矩阵形式为2ααᵀ+ββᵀ。考虑到这是符号使用不规范而非逻辑错误,且两次识别中至少有一次正确表达了证明思路,扣1分。得分:4.5分。
(2)得分及理由(满分5.5分)
学生第二问的证明思路完全正确:
虽然符号使用与题目不完全一致,但逻辑严密,证明完整。得分:5.5分。
题目总分:4.5+5.5=10分
登录后发布评论
暂无评论,来抢沙发