文章

149

粉丝

0

获赞

1

访问

80.4k

头像
2013年考研数学(一)考试试题 - 第22题回答
概率论
发布于2025年10月7日 14:50
阅读数 724


评分及理由

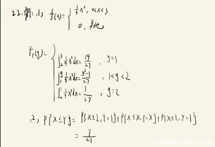
(I)得分及理由(满分6分)

学生答案中给出了Y的分布函数的分段表达式,但存在多处错误:

  • 分布函数定义错误:分布函数应该是关于y的函数,但学生给出的分段条件与标准答案不符。例如,当y≥1时,学生写的是∫₂³(1/9)x²dx=19/27,这实际上是P(Y=1)的概率值,而不是分布函数。
  • 分段区间错误:标准答案中分布函数分为y<1、1≤y<2、y≥2三段,而学生答案的分段条件混乱(如y=1、1
  • 表达式不完整:缺少y<1时的F(y)=0,且y≥2时的分布函数应为1。
  • 计算值正确但应用错误:虽然19/27、1/27等数值计算正确,但放错了位置。

由于对分布函数的基本概念理解有误,分段表达存在根本性错误,但部分积分计算正确,给2分。

(II)得分及理由(满分5分)

学生将P{X≤Y}分解为三个事件的和:

  • 思路正确:按照Y的取值分段计算是合理的方法
  • 表达式有误:第二项P{X≤X,Y=X}应改为P{X≤Y,1
  • 最终结果正确:计算得到7/27与标准答案一致

虽然表达式书写不够严谨,但思路正确且最终结果正确,扣1分,给4分。

题目总分:2+4=6分

登录查看完整内容


登录后发布评论

暂无评论,来抢沙发