文章
134
粉丝
0
获赞
1
访问
16.9k

评分及理由
(1)得分及理由(满分5.5分)
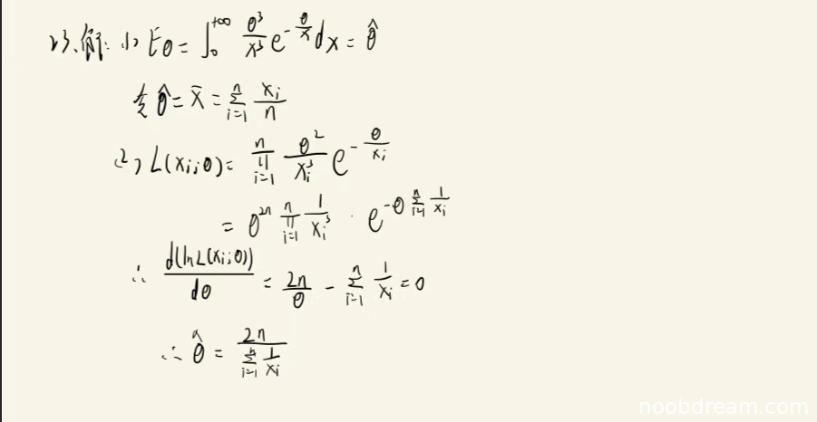
第一次识别结果中,矩估计部分存在严重错误:表达式"Eθ = ∫₀^∞ x³/x³ e^(-θ/x) dx = θ̂"明显有误,应为E(X)的计算。虽然最终得到了θ̂ = X̄,但推导过程错误。第二次识别结果中,期望计算表达式"Eθ=∫₀^∞ θ³/x³ e^(-θ/x)dx"也是错误的。由于矩估计的核心思路(令样本均值等于总体均值)正确,且最终结果正确,但推导过程存在严重逻辑错误,扣3分,得2.5分。
(2)得分及理由(满分5.5分)
第一次识别结果中,最大似然估计部分基本正确:似然函数构建正确,对数似然函数求导过程正确,最终结果正确。第二次识别结果中,似然函数分母写成了x_i²(应为x_i³),但在后续计算中实际上使用的是正确的x_i³(因为在对数似然中出现了-3lnx_i项)。考虑到可能是识别错误,且核心推导逻辑正确,最终结果正确,扣1分,得4.5分。
题目总分:2.5+4.5=7分
登录后发布评论
暂无评论,来抢沙发