文章
134
粉丝
0
获赞
1
访问
16.9k

评分及理由
(1)得分及理由(满分10分)
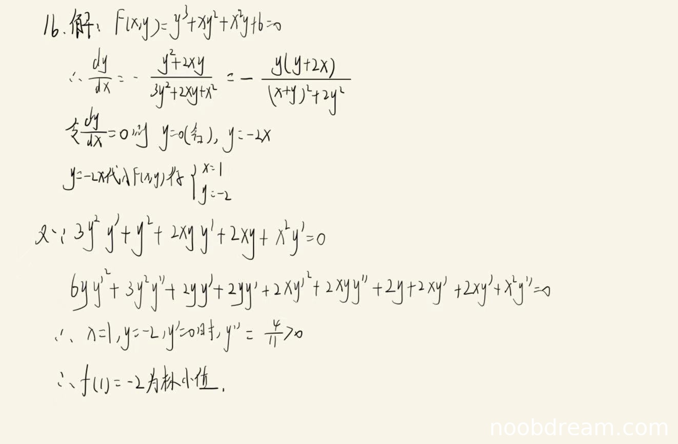
学生正确完成了隐函数求导,得到一阶导数表达式,并令其为零得到可能的极值点条件 y = -2x,代入原方程得到候选点 (1, -2)。这一步思路和计算正确。
在求二阶导数时,学生通过对一阶导数方程再次求导得到二阶导数表达式,方法正确。但在计算具体数值时,将 y'' 错误计算为 4/11 而非正确的 4/9,这是一个计算错误。
虽然二阶导数的数值计算错误,但学生正确判断了 y'' > 0,并得出极小值的结论,最终答案正确。
考虑到核心思路完全正确,主要步骤完整,仅有一个数值计算错误,扣1分。
得分:9分
题目总分:9分
登录后发布评论
暂无评论,来抢沙发