2014年考研数学(一)考试试题 - 第18题回答
高等数学
发布于2025年10月8日 16:59
阅读数 135

评分及理由
(1)第1次识别结果得分及理由(满分10分)
得分:2分
理由:
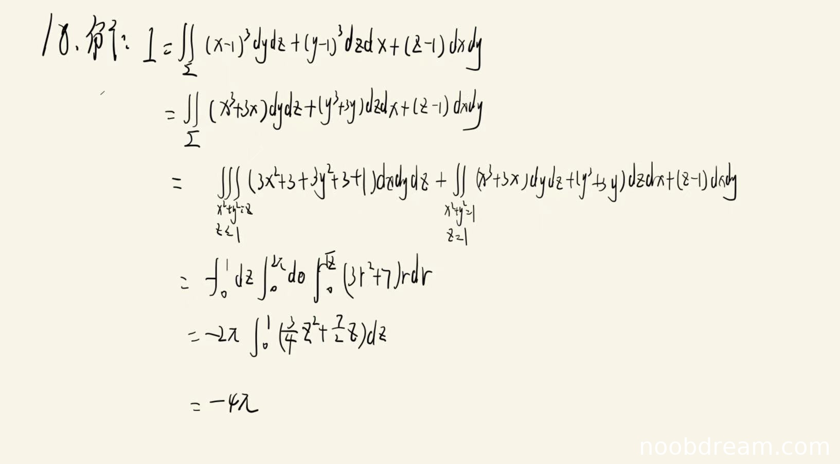
- 学生第一步展开$(x-1)^3$和$(y-1)^3$时出现错误,应为$(x-1)^3 = x^3-3x^2+3x-1$,但学生写成了$x^3+3x$,这是严重的逻辑错误,扣3分
- 积分区域描述错误,写成了$x^2+y^2\leq2$,而正确应该是$x^2+y^2\leq z$,这是逻辑错误,扣3分
- 最后的积分计算过程虽然形式上与答案相似,但由于前面错误导致计算过程完全错误,扣2分
- 最终答案虽然数值正确,但过程错误,不能给过程分
(2)第2次识别结果得分及理由(满分10分)
得分:2分
理由:
- 同样在展开$(x-1)^3$和$(y-1)^3$时出现错误,写成了$x^3+3x$,这是严重的逻辑错误,扣3分
- 积分区域描述错误,写成了$x^2+y^2+z^2\leq1$,而正确应该是$z=x^2+y^2$与$z=1$围成的区域,这是逻辑错误,扣3分
- 积分限错误,写成了$\int_0^{\sqrt{1-z^2}}$,而正确应该是$\int_0^{\sqrt{z}}$,这是逻辑错误,扣2分
- 最终答案虽然数值正确,但过程错误,不能给过程分
题目总分:2+2=4分
登录后发布评论
暂无评论,来抢沙发