文章
134
粉丝
0
获赞
1
访问
16.9k

评分及理由
(1)得分及理由(满分5.5分)
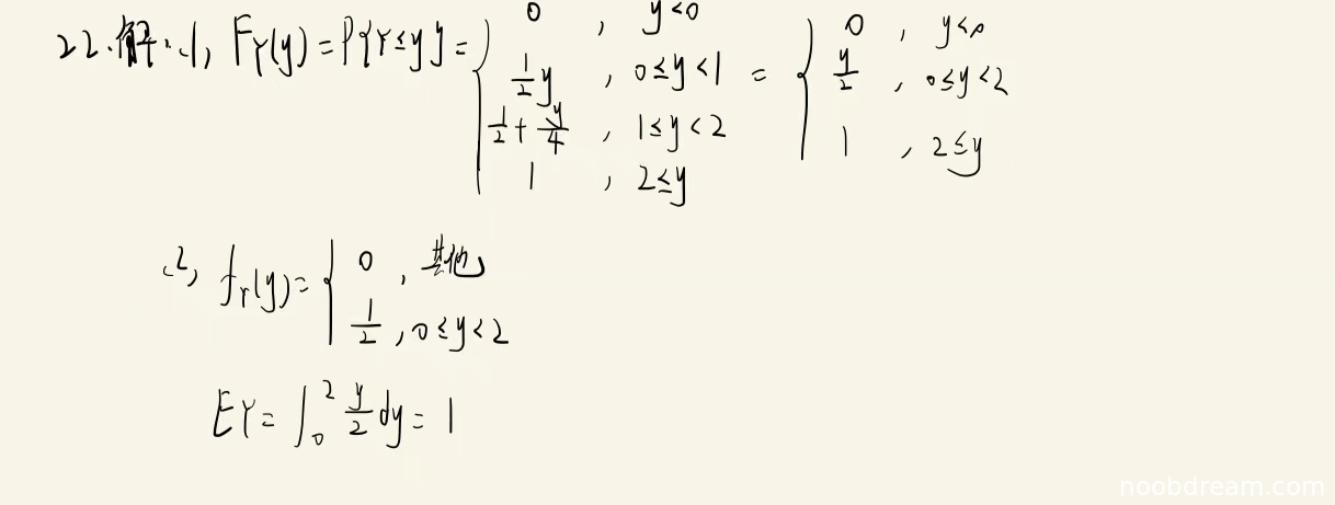
学生第一次识别结果中给出的分布函数在区间[0,1)和[1,2)的表达式有误,将标准答案中的3y/4误写为y/2,将y/4+1/2误写为1/2+y/4(但数值相同)。第二次识别结果中,在区间[1,2)的表达式写为y/4,缺少了1/2项,这是明显的逻辑错误。虽然第一次识别结果在[1,2)区间表达式数值正确,但两次识别结果都未能完全正确给出分布函数,因此扣2分。得3.5分。
(2)得分及理由(满分5.5分)
学生基于错误的分布函数推导出错误的概率密度函数,两次识别结果都给出f_Y(y)=1/2 (0≤y<2),这与标准答案不符。在计算期望时,虽然计算过程正确,但由于使用了错误的密度函数,导致最终结果错误。这是严重的逻辑错误,扣4分。得1.5分。
题目总分:3.5+1.5=5分
登录后发布评论
暂无评论,来抢沙发