文章
134
粉丝
0
获赞
1
访问
16.9k

评分及理由
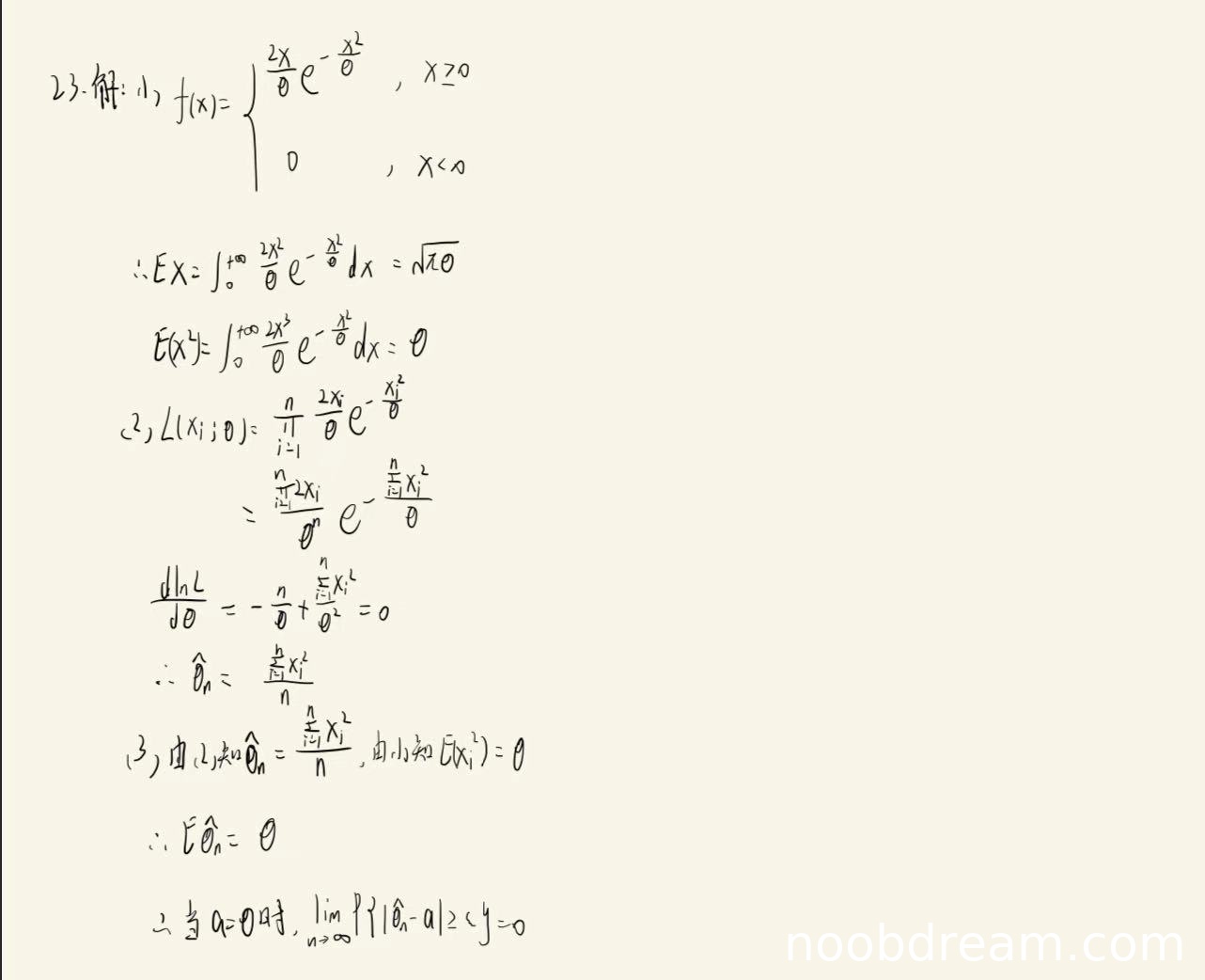
(1)得分及理由(满分4分)
学生正确给出了概率密度函数,并计算了EX和EX²。EX的计算结果写为√(πθ),与标准答案的(√(πθ))/2不一致,但考虑到可能是识别错误(漏写了分母2),且后续计算过程思路正确,根据“误写不扣分”原则,不扣分。EX²的计算结果θ正确。因此本小题得4分。
(2)得分及理由(满分4分)
学生正确构建了似然函数,进行了对数似然求导,并得到了正确的最大似然估计量。过程完整且结果正确。因此本小题得4分。
(3)得分及理由(满分3分)
学生正确指出当a=θ时,估计量具有一致性。虽然表述中写的是P{|θ̂ₙ-a|<ε}而不是≥ε,但这属于微小表述差异,核心逻辑正确。根据大数定律,样本二阶矩依概率收敛于总体二阶矩EX²=θ的结论正确。因此本小题得3分。
题目总分:4+4+3=11分
登录后发布评论
暂无评论,来抢沙发