文章
285
粉丝
20
获赞
875
访问
180.2k

评分及理由
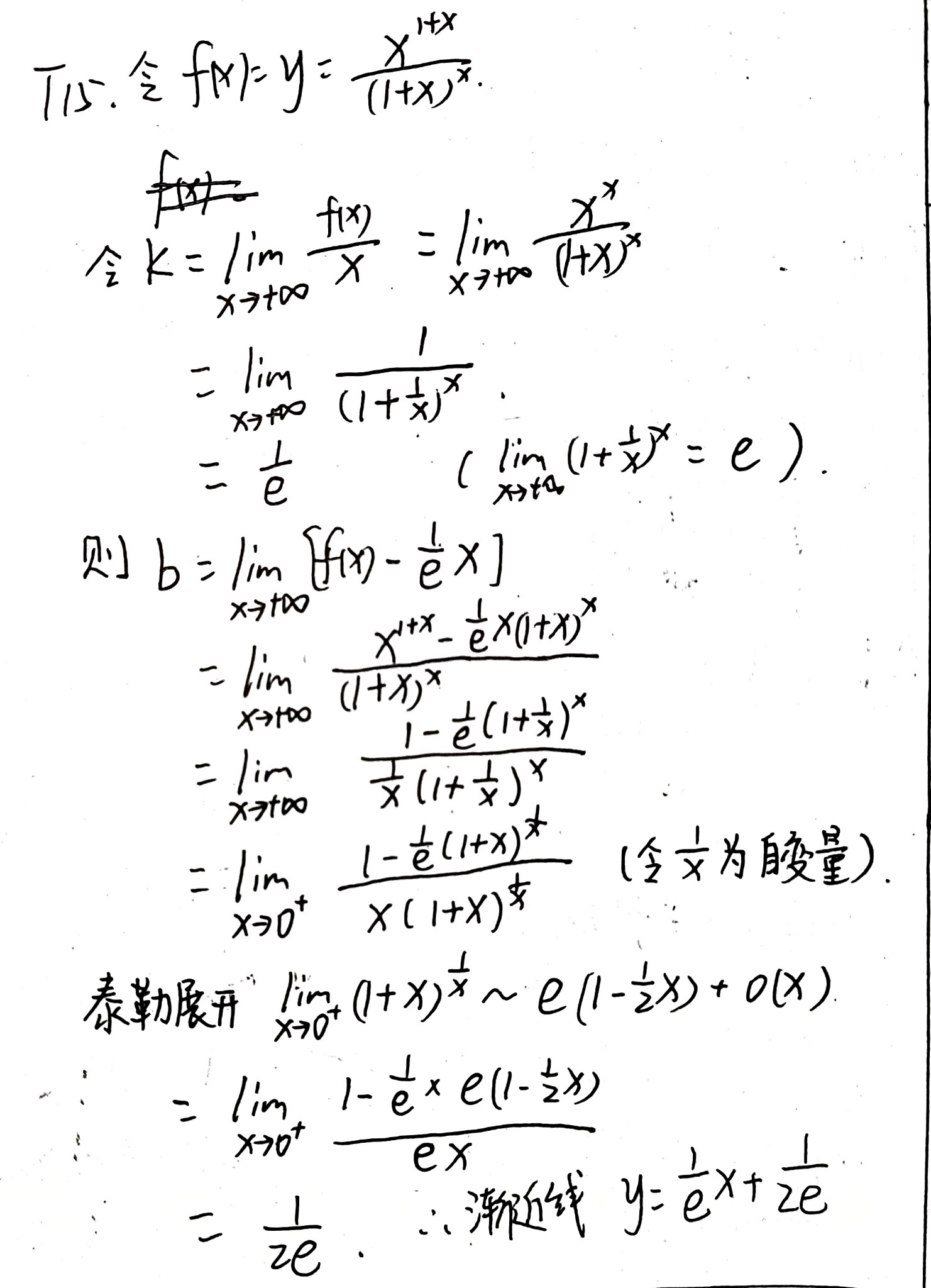
(1)求斜率k的得分及理由(满分2分)
学生正确计算了斜率k:
- 正确写出k的极限表达式:k = lim(x→∞) f(x)/x = lim(x→∞) x^x/(1+x)^x
- 正确化简为:lim(x→∞) 1/(1+1/x)^x
- 正确得出结果:k = 1/e
此部分完全正确,得2分。
(2)求截距b的得分及理由(满分3分)
学生计算截距b时存在逻辑错误:
- 在变量代换部分,学生令t=1/x,但在后续计算中仍然使用x作为变量,变量使用混乱
- 在泰勒展开部分,学生直接使用(1+x)^(1/x) ~ e(1-1/2x)+o(x),这个展开式是正确的,但推导过程不够严谨
- 虽然最终结果正确,但计算过程中存在逻辑不严密的问题
由于核心思路正确且最终结果正确,但过程存在瑕疵,扣1分,得2分。
题目总分:2+2=4分
登录后发布评论
暂无评论,来抢沙发