文章
285
粉丝
20
获赞
875
访问
180.2k

评分及理由
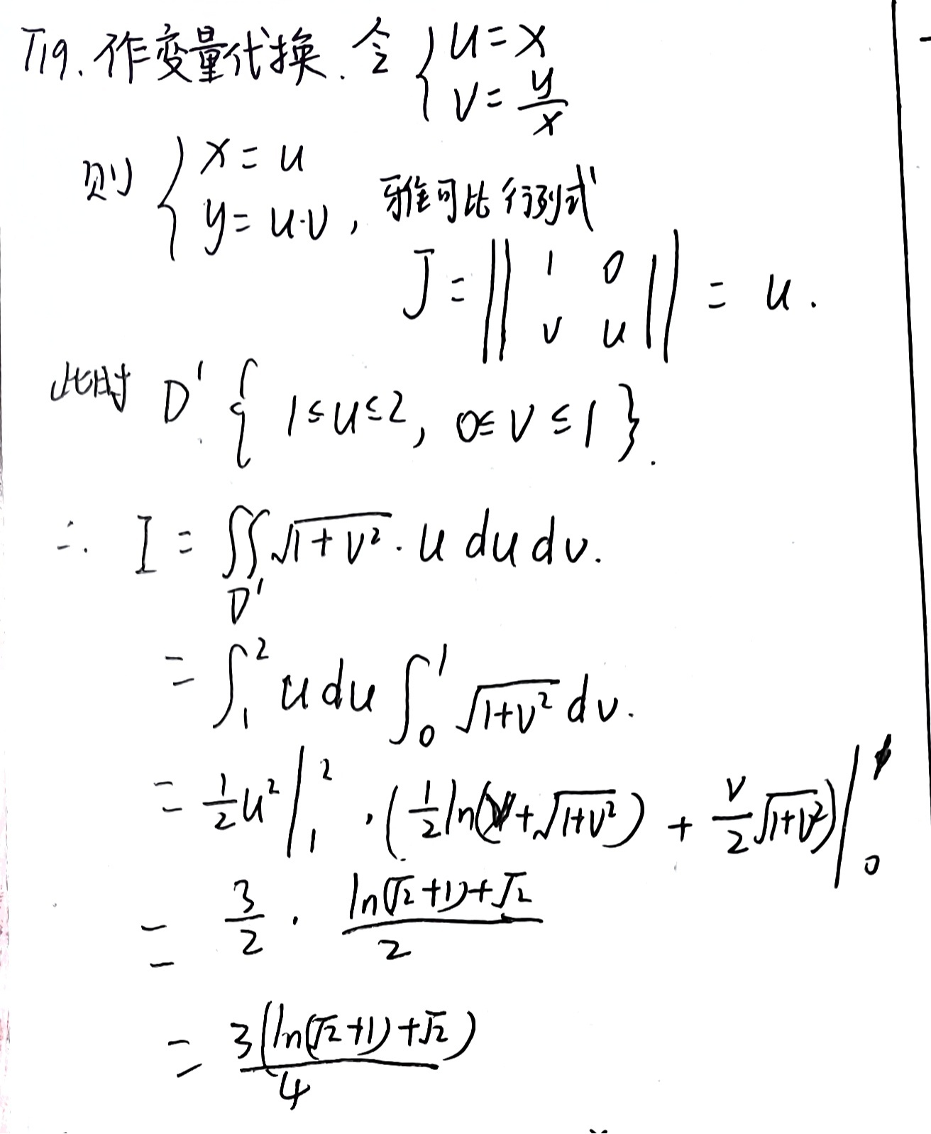
(1)变量代换与雅可比行列式(满分2分)
学生正确进行了变量代换,令 \( u = x \), \( v = \frac{y}{x} \),并正确计算了雅可比行列式 \( J = u \)。此处无错误,得2分。
(2)积分区域变换(满分2分)
学生正确确定了变换后的积分区域 \( D' = \{1 \leq u \leq 2, 0 \leq v \leq 1\} \)。此处无错误,得2分。
(3)积分计算(满分6分)
学生正确将原积分转换为 \( \iint_{D'} \sqrt{1 + v^2} \cdot u \, du \, dv \),并分离变量计算:
- \( \int_1^2 u \, du = \frac{3}{2} \) 正确;
- \( \int_0^1 \sqrt{1 + v^2} \, dv \) 的计算公式正确,结果为 \( \frac{1}{2} \left[ \ln(v + \sqrt{1 + v^2}) + v \sqrt{1 + v^2} \right]_0^1 = \frac{\ln(\sqrt{2} + 1) + \sqrt{2}}{2} \);
- 最终结果 \( \frac{3(\ln(\sqrt{2} + 1) + \sqrt{2})}{4} \) 与标准答案等价(标准答案为 \( \frac{3}{4} \sqrt{2} + \frac{3}{4} \ln(\sqrt{2} + 1) \),展开后一致)。
此处无逻辑错误,得6分。
题目总分:2+2+6=10分
登录后发布评论
暂无评论,来抢沙发