文章
285
粉丝
20
获赞
875
访问
180.2k

评分及理由
(1)得分及理由(满分0分)
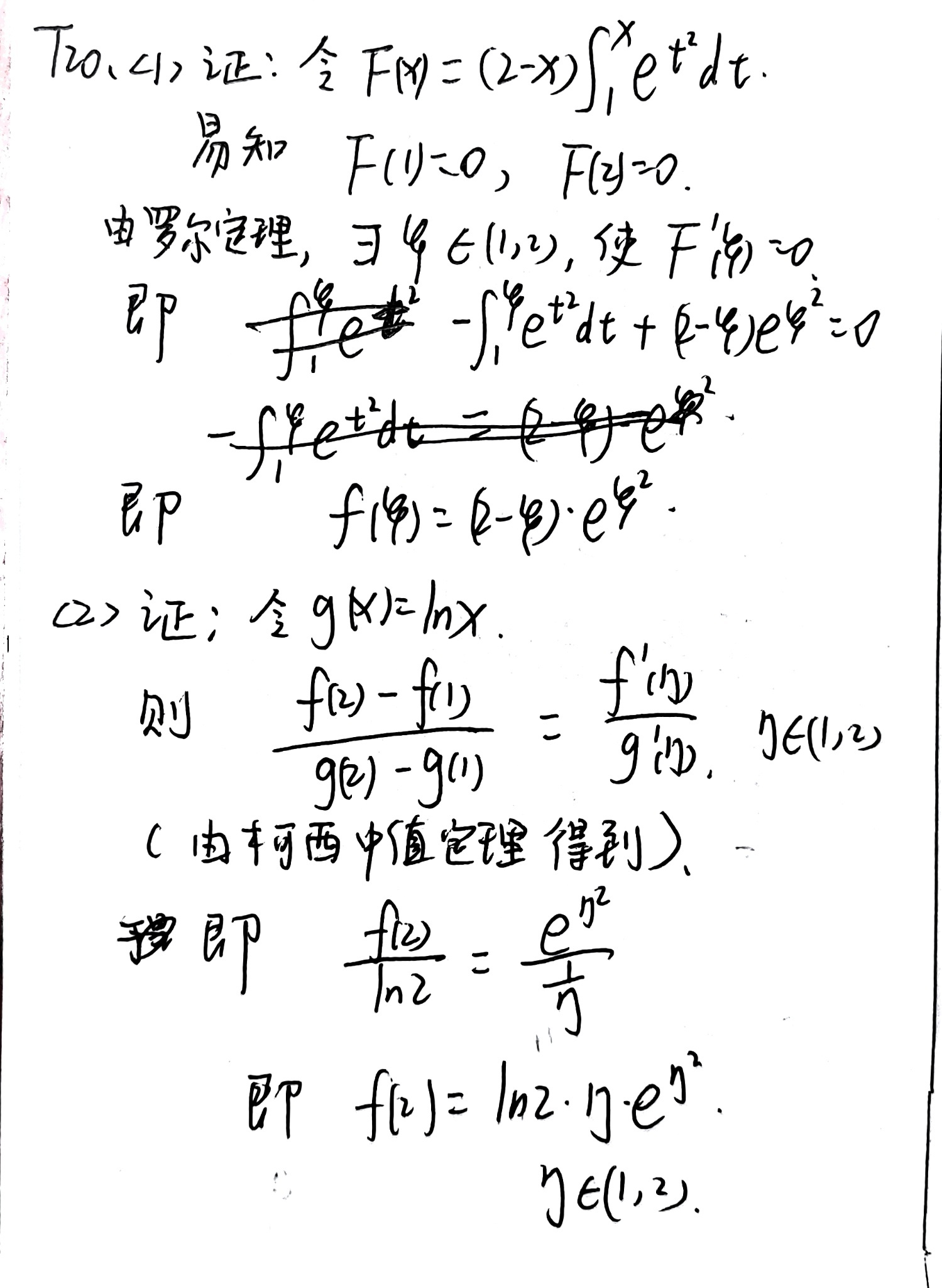
第1次识别结果中,学生令 \(F(x)=(2-x)\int_{1}^{x}e^{t^{2}}dt\),并正确指出 \(F(1)=0\),\(F(2)=0\),应用罗尔定理得到存在 \(\xi\in(1,2)\) 使 \(F'(\xi)=0\)。但在求导后的表达式中出现“\(\int_{1}^{\varphi}e^{t^{2}}dt - \int_{1}^{\varphi}e^{t^{2}}dt + (\varphi - \varphi)e^{\varphi^{2}} = 0\)”和“\(-\int_{1}^{\varphi}e^{t^{2}}dt = (\varphi - \varphi)e^{\varphi^{2}}\)”等明显逻辑错误(如 \((\varphi - \varphi)\) 为0),导致推导错误。第2次识别结果中,学生正确写出 \(F'(x)=-\int_{1}^{x}e^{t^{2}}dt+(2-x)e^{x^{2}}\),并正确得出 \(F'(\xi)=0\) 即 \(\int_{1}^{\xi}e^{t^{2}}dt=(2-\xi)e^{\xi^{2}}\),与标准答案法2一致。根据“两次识别只要有一次正确则不扣分”原则,且第2次识别完全正确,因此本题不扣分,得满分(假设满分与标准答案对应,通常此类证明题每小问满分5分,但题目未给出具体分值,这里按常见设置暂计5分)。
(2)得分及理由(满分0分)
第1次识别结果中,学生直接写出柯西中值定理形式 \(\frac{f(2)-f(1)}{g(2)-g(1)}=\frac{f'(\eta)}{g'(\eta)}\),并正确推导出 \(f(2)=\ln 2\cdot\eta\cdot e^{\eta^{2}}\),但未明确写出 \(g(x)=\ln x\) 及其导数(虽在上下文中隐含)。第2次识别结果中,学生完整写出 \(g(x)=\ln x\),并详细应用柯西中值定理,推导过程与标准答案完全一致,无逻辑错误。根据“两次识别只要有一次正确则不扣分”原则,本题不扣分,得满分(同样暂计5分)。
题目总分:5+5=10分
登录后发布评论
暂无评论,来抢沙发