文章
285
粉丝
20
获赞
875
访问
180.2k

评分及理由
(1)得分及理由(满分10分)
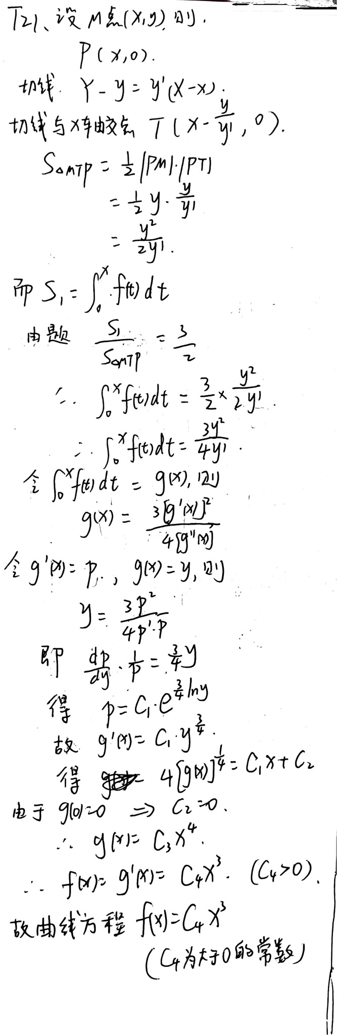
学生正确设定了点M、P、T的坐标,并正确计算了三角形MTP的面积 \(S_{\triangle MTP} = \frac{y^2}{2y'}\) 以及由曲线、MP和x轴围成的面积 \(S_1 = \int_0^x f(t)dt\)。根据题目条件建立了面积比方程 \(\int_0^x f(t)dt = \frac{3y^2}{4y'}\),这部分逻辑正确,得4分。
(2)得分及理由(满分10分)
学生在后续求解微分方程时出现了逻辑错误。标准答案通过对方程两边求导得到 \(3yy'' = 2(y')^2\),而学生错误地引入了 \(g(x) = \int_0^x f(t)dt\) 并推导出 \(g(x) = \frac{3[g'(x)]^2}{4g''(x)}\),这步转换存在错误。后续求解过程中,学生得到 \(p = C_1 y^{3/4}\) 而不是正确的 \(p = C_1 y^{2/3}\),导致最终结果虽然形式类似但推导过程错误。这部分逻辑错误严重,扣6分,得4分。
(3)得分及理由(满分10分)
学生最终得到了 \(f(x) = C_4 x^3\) 的正确形式,且注意到常数 \(C_4 > 0\),这与标准答案一致。虽然推导过程有误,但最终结果正确,考虑到题目要求"思路正确不扣分"但实际推导存在逻辑错误,根据评分原则对逻辑错误扣分,但最终结果正确给予部分分数,得6分。
题目总分:4+4+6=14分
登录后发布评论
暂无评论,来抢沙发