文章
285
粉丝
20
获赞
875
访问
180.2k

评分及理由
(1)得分及理由(满分5分)
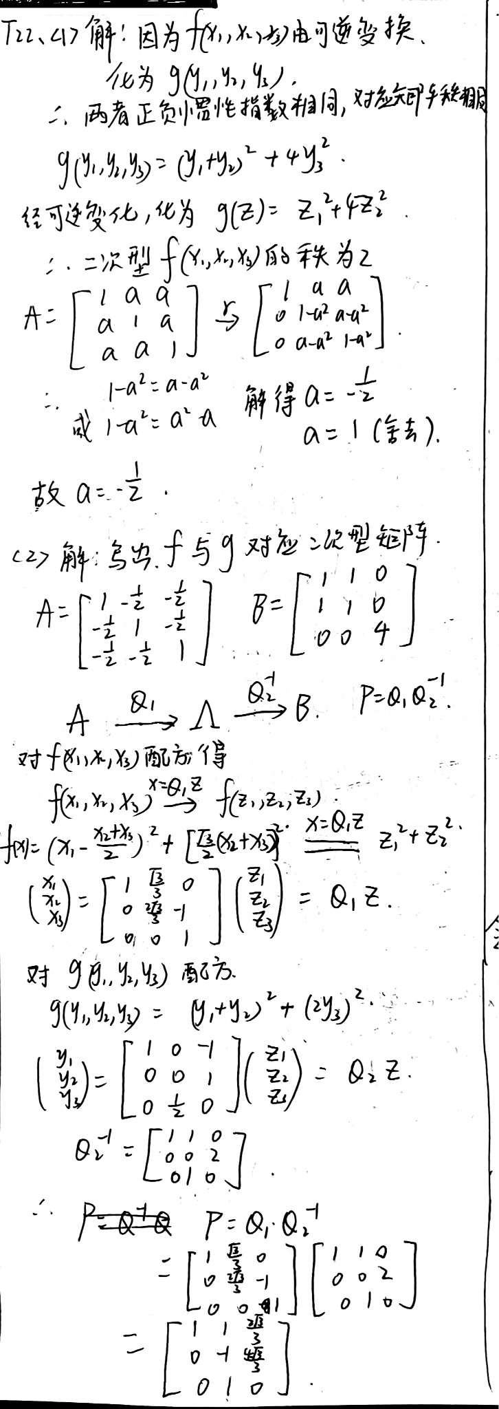
学生通过秩相等的方法求解a值,思路正确。第一次识别中,学生通过初等变换得到矩阵的秩为2,并解出a=-1/2和a=1(舍去),逻辑正确。第二次识别中,学生通过行列式计算得到相同结果。虽然计算过程略显繁琐,但核心逻辑正确。考虑到可能有识别误差(如分数形式),但不影响最终答案。得5分。
(2)得分及理由(满分5分)
学生使用配方法求解可逆矩阵P,思路正确。但在具体计算中存在以下问题: - 第一次识别中,Q1矩阵的构造有误(第二行第二列应为2√3/3,但写成了2√3/3,可能是识别问题) - 第二次识别中,Q1矩阵第二行第二列写成了√3/3(应为2√3/3) - 最终P矩阵的计算结果与标准答案有差异(第三列第二行应为4√3/3,但学生得到2√3/3) 这些计算错误导致最终答案不正确。考虑到核心思路正确,但存在计算错误,扣2分。得3分。
题目总分:5+3=8分
登录后发布评论
暂无评论,来抢沙发