文章
74
粉丝
0
获赞
0
访问
8.6k

评分及理由
(1)得分及理由(满分6分)
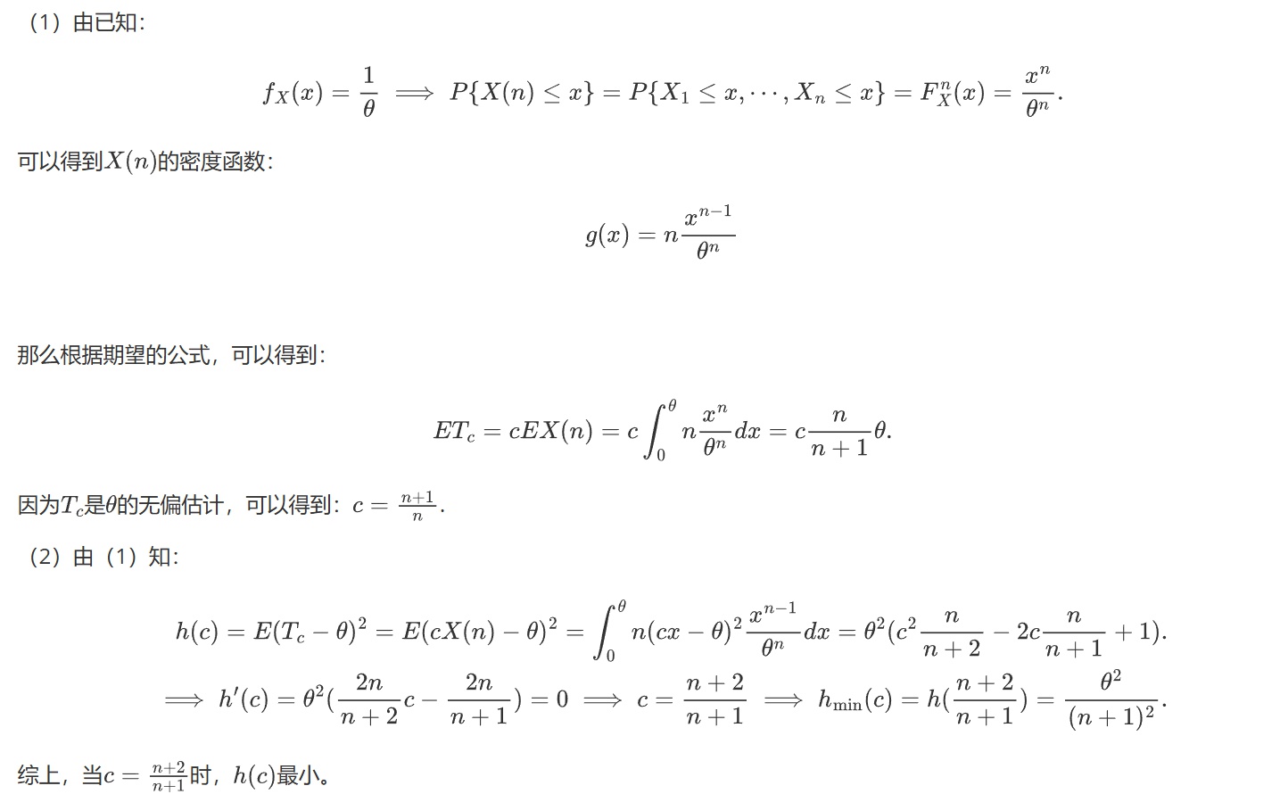
学生正确推导了$X_{(n)}$的分布函数和概率密度函数,并正确计算了$E(T_c)$。通过令$E(T_c)=\theta$,得到了正确的$c=\frac{n+1}{n}$。整个过程逻辑清晰,计算正确。
得分:6分
(2)得分及理由(满分6分)
学生正确计算了$h(c)=E(T_c-\theta)^2$,通过积分得到了$h(c)$的表达式。正确求导并令导数为零得到$c=\frac{n+2}{n+1}$。虽然学生没有像标准答案那样验证二阶导数为正,但这是求最小值的基本步骤,不影响结果正确性。
得分:6分
题目总分:6+6=12分
登录后发布评论
暂无评论,来抢沙发