文章

69

粉丝

0

获赞

0

访问

32.6k

头像
2025年考研数学(二)考试试题 - 第19题回答
高等数学
发布于2025年10月13日 00:11
阅读数 559


评分及理由

(1)得分及理由(满分6分)

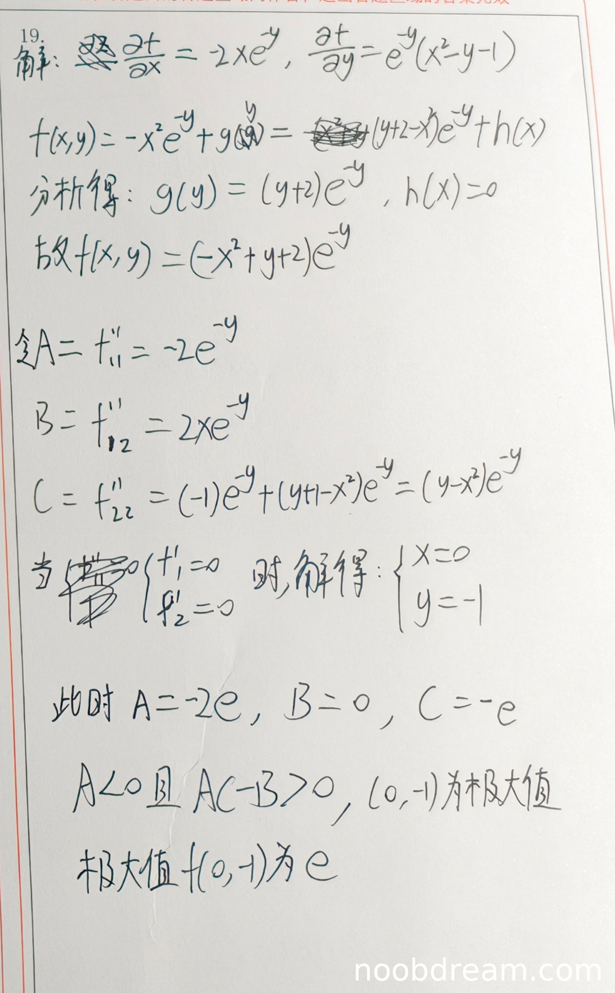
学生首先通过偏积分法求解函数表达式,但存在多处错误:

  • 错误1:将题目中的 \( e^{-y} \) 误写为 \( e^y \)(例如 \(\frac{\partial f}{\partial x} = -2xe^y\) 应为 \(-2xe^{-y}\)),这导致后续积分结果全部错误。
  • 错误2:由错误1导致积分结果 \( f(x,y) = -x^2 e^y + g(y) \) 错误,进而推导出的 \( g'(y) = (y+2)e^y \) 也错误(正确应为 \( g'(y) = -(y+1)e^{-y} \))。
  • 错误3:最终函数表达式 \( f(x,y) = (-x^2 + y + 2)e^y \) 错误(正确应为 \( f(x,y) = (-x^2 + y + 2)e^{-y} \))。

尽管学生正确使用了偏积分法的思路,但由于上述逻辑错误导致函数表达式完全错误,因此扣分严重。考虑到思路正确但计算全错,给予2分。

(2)得分及理由(满分6分)

学生在求极值部分:

  • 正确求出了驻点 \((0, -1)\),但基于错误的函数表达式,实际驻点应为 \((0, -1)\),此处巧合正确。
  • 正确计算了二阶偏导数 \(A, B, C\) 的表达式,但基于错误的函数表达式,计算结果错误。
  • 正确使用极值判别法(\(A < 0\) 且 \(AC - B^2 > 0\) 判断极大值),但基于错误的数值。
  • 极大值计算结果 \(f(0,-1) = e\) 正确,但这是基于错误函数表达式巧合得到的结果(正确极大值也为 \(e\))。

尽管极值判断方法正确且结果巧合正确,但由于函数表达式错误导致过程无效,因此扣分。给予2分。

题目总分:2+2=4分

登录查看完整内容


登录后发布评论

暂无评论,来抢沙发