2017年考研数学(二)考试试题 - 第21题回答
高等数学
发布于2025年10月13日 12:57
阅读数 170

评分及理由
(1)得分及理由(满分11分)
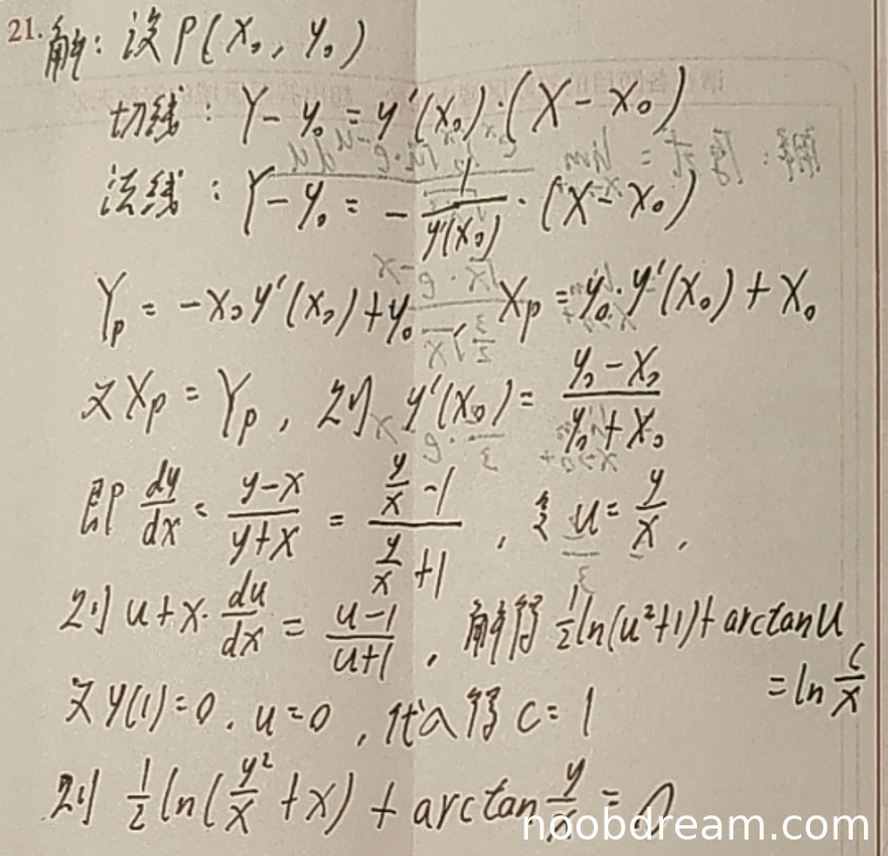
学生作答基本正确,主要步骤与标准答案一致:
- 正确写出切线方程和法线方程(1分)
- 正确求出Y_P和X_P的表达式(2分)
- 正确建立X_P=Y_P的微分方程(1分)
- 正确进行变量代换u=y/x(1分)
- 正确求解微分方程得到通解形式(2分)
- 正确利用初始条件y(1)=0确定常数(1分)
存在的主要问题:
- 第一次识别结果中最后答案写为"ln(y²/x+x)",应为"ln((y²+x²)/x²)"或"ln(1+y²/x²)",这是明显的书写错误(扣1分)
- 第二次识别结果中最后答案写为"ln(y²/x²+1)",但等式右边写为"lnx",应为"-lnx"或"ln(1/x)"(扣1分)
由于两次识别结果中都有明显的书写错误,且这些错误影响了最终答案的正确性,总共扣2分。
得分:9分
题目总分:9分
登录后发布评论
暂无评论,来抢沙发