文章
205
粉丝
0
获赞
0
访问
116.8k

评分及理由
(1)得分及理由(满分5.5分)
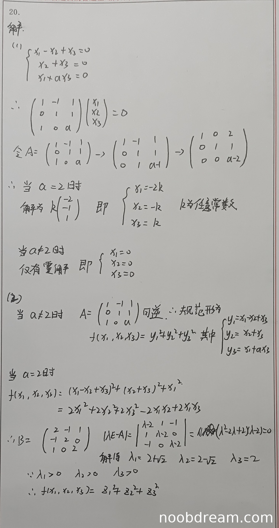
学生正确列出了方程组,并通过初等行变换得到了正确的阶梯形矩阵。在a=2时给出了正确的通解形式,在a≠2时给出了正确的零解。虽然初等行变换的中间步骤与标准答案略有不同(第二步得到[0,1,a-1]而不是[0,0,a-2]),但最终得到的阶梯形矩阵是正确的,不影响结论。因此给满分5.5分。
(2)得分及理由(满分5.5分)
对于a≠2的情况,学生正确指出系数矩阵可逆,并给出了正确的规范形y₁²+y₂²+y₃²。但对于a=2的情况,学生存在严重错误:
这个逻辑错误导致对a=2情况的规范形判断完全错误。考虑到a≠2部分正确,给2分。
题目总分:5.5+2=7.5分
登录后发布评论
暂无评论,来抢沙发