文章

205

粉丝

0

获赞

0

访问

116.9k

头像
2019年考研数学(一)考试试题 - 第19题回答
高等数学
发布于2025年10月13日 22:29
阅读数 551


评分及理由

(1)得分及理由(满分10分)

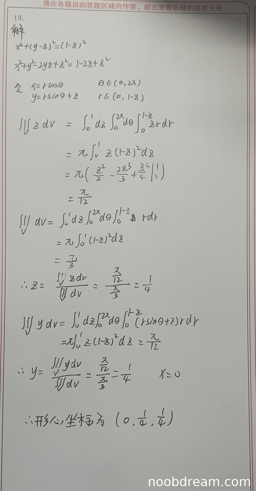
本题要求计算形心坐标 \((\bar{x}, \bar{y}, \bar{z})\)。学生的作答中:

  • 对于 \(\bar{x}\):正确得出 \(\bar{x} = 0\),因为积分区域关于 \(x=0\) 对称且被积函数 \(x\) 是奇函数,得满分。
  • 对于 \(\bar{z}\):计算 \(\iiint_{\Omega} z \, dv = \frac{\pi}{12}\) 和 \(\iiint_{\Omega} 1 \, dv = \frac{\pi}{3}\) 正确,从而 \(\bar{z} = \frac{1}{4}\) 正确,得满分。
  • 对于 \(\bar{y}\):学生在计算 \(\iiint_{\Omega} y \, dv\) 时,错误地使用了变量替换 \(y = r\sin\theta + z\),但忽略了该替换下积分区域应为 \(x^2 + (y - z)^2 \leq (1 - z)^2\),即 \(x = r\cos\theta, y = r\sin\theta + z\),其中 \(r \in [0, 1-z], \theta \in [0, 2\pi]\)。然而,学生在计算 \(\iiint y \, dv\) 时,写为 \(\int_0^1 dz \int_0^{2\pi} d\theta \int_0^{1-z} (r\sin\theta + z) r \, dr\),并正确指出 \(\int_0^{2\pi} \sin\theta \, d\theta = 0\),因此积分简化为 \(\int_0^1 dz \int_0^{2\pi} d\theta \int_0^{1-z} z r \, dr = \frac{\pi}{12}\)。但标准答案中 \(\iiint y \, dv = \frac{2\pi}{3}\),学生的计算错误在于:在变量替换 \(y = r\sin\theta + z\) 下,\(\iiint y \, dv = \int_0^1 dz \int_0^{2\pi} d\theta \int_0^{1-z} (r\sin\theta + z) r \, dr\),其中 \(\int_0^{2\pi} r\sin\theta \,...
登录查看完整内容


登录后发布评论

暂无评论,来抢沙发