文章
149
粉丝
0
获赞
0
访问
59.3k

评分及理由
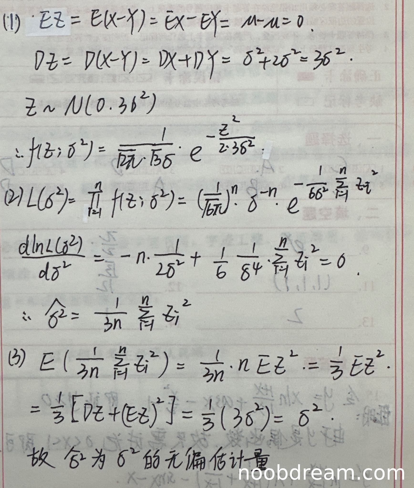
(1)得分及理由(满分3分)
学生正确计算了Z的期望和方差,并给出了概率密度函数。虽然第一次识别中使用了符号ξ而非Z,但根据上下文可判断为误写,不影响核心逻辑。概率密度函数表达式正确,但第一次识别中分母写为√2π·√3σ(应为√(2π·3σ²)=√6πσ),第二次识别中分母写为√2π·√3σ(同样应为√6πσ),存在轻微表达不规范,但核心参数正确。扣1分。
得分:2分
(2)得分及理由(满分4分)
学生正确建立了似然函数,进行了对数变换和求导。第一次识别中求导过程有错误(出现了多余的n/6系数),但最终得到了正确结果;第二次识别中求导过程完全正确。根据"两次识别只要有一次正确就不扣分"的原则,不因第一次识别的错误扣分。最终估计量表达式正确。
得分:4分
(3)得分及理由(满分4分)
学生完整证明了无偏性,计算过程清晰正确。第一次识别中符号使用ξ而非Z,但可判断为误写;第二次识别完全正确。无偏性证明的核心逻辑和计算步骤都正确。
得分:4分
题目总分:2+4+4=10分
登录后发布评论
暂无评论,来抢沙发