文章
285
粉丝
20
获赞
875
访问
180.6k

评分及理由
(1)得分及理由(满分2分)
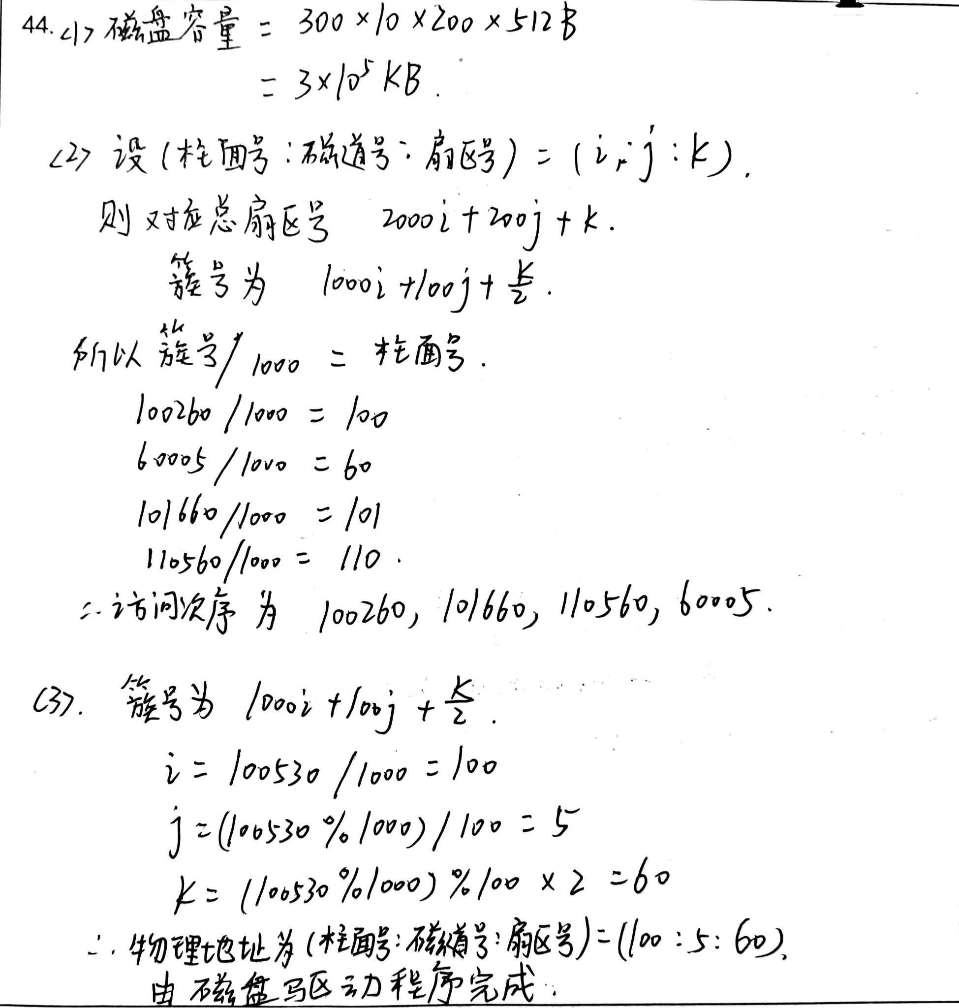
学生两次识别结果均正确计算了磁盘容量:300×10×200×512B = 3×10⁵KB,与标准答案一致。得2分。
(2)得分及理由(满分2分)
学生正确计算了各簇号对应的柱面号(100、60、101、110),并基于磁头初始位置85号柱面,采用SSTF算法得出访问次序为100260、101660、110560、60005,与标准答案完全一致。得2分。
(3)得分及理由(满分3分)
第一问:学生正确计算了簇号100530对应的物理地址(柱面号100、磁道号5、扇区号60),计算过程与标准答案一致。第二问:学生回答"由磁盘驱动程序完成"(第一次识别中"写区"可能是识别误差,但核心含义正确),与标准答案"磁盘驱动程序"一致。得3分。
题目总分:2+2+3=7分
登录后发布评论
暂无评论,来抢沙发