文章
189
粉丝
0
获赞
1
访问
84.8k

评分及理由
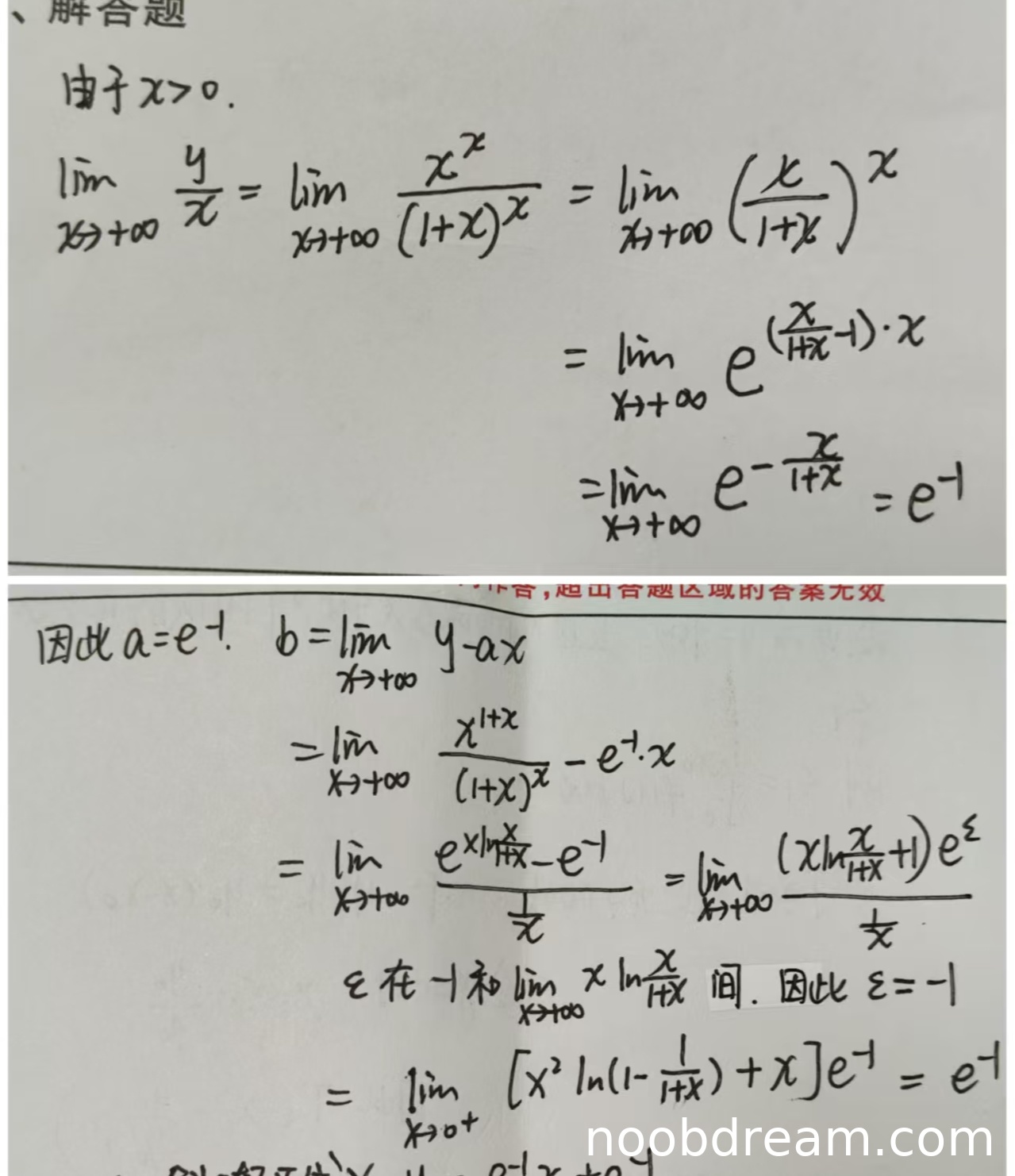
(1)求斜率k的得分及理由(满分5分)
学生正确计算了斜率k = limx→+∞ y/x = e-1,思路和结果与标准答案一致。但在计算过程中,学生写的是limx→+∞ e(x/(1+x)-1)·x = limx→+∞ e-x/(1+x),这里实际上应该是limx→+∞ ex·ln(x/(1+x)),学生使用了ln(x/(1+x)) ≈ -1/(1+x)的近似,虽然最终结果正确,但严格来说这一步的推导不够严谨。考虑到最终结果正确,扣1分。
得分:4分
(2)求截距b的得分及理由(满分5分)
学生在求截距b时出现了严重错误。虽然正确写出了b = limx→+∞ (y - kx),但在计算过程中:
这些是严重的逻辑错误,导致最终结果完全错误。
得分:0分
题目总分:4+0=4分
登录后发布评论
暂无评论,来抢沙发