文章

205

粉丝

0

获赞

0

访问

117.1k

头像
2020年考研数学(一)考试试题 - 第16题回答
高等数学
发布于2025年10月15日 14:49
阅读数 700


评分及理由

(1)得分及理由(满分10分)

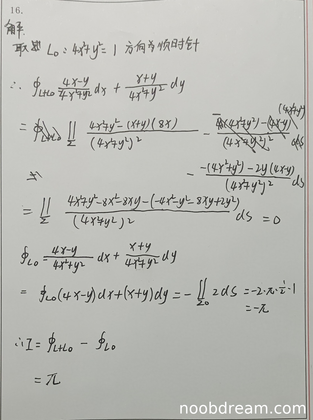
学生作答的整体思路与标准答案一致:通过构造闭合路径(L+L₀)并应用格林公式,将原曲线积分转化为在椭圆路径上的积分计算。具体步骤包括:

  • 正确选取椭圆路径 L₀: 4x²+y²=1(方向顺时针)
  • 正确计算 ∂Q/∂x - ∂P/∂y = 0
  • 正确将椭圆上的积分转化为 ∮(4x-y)dx+(x+y)dy
  • 最终得到正确结果 I = π

但存在以下问题:

  • 在格林公式的应用中,学生写出的表达式较为混乱,有"ds"等不规范写法(应为dxdy)
  • 在计算椭圆面积时,椭圆 4x²+y²=1 的面积应为 π·(1/2)·1 = π/2,但学生在计算 ∮(4x-y)dx+(x+y)dy 时直接得到 -2·π·(1/2)·1 = -π,这个计算过程不完整(缺少对格林公式中偏导数的具体计算)

考虑到核心思路正确且最终结果正确,但计算过程存在不规范和跳跃,扣2分。

得分:8分

题目总分:8分

登录查看完整内容


登录后发布评论

暂无评论,来抢沙发