文章
449
粉丝
0
获赞
0
访问
84.6k


评分及理由
(1)得分及理由(满分10分)
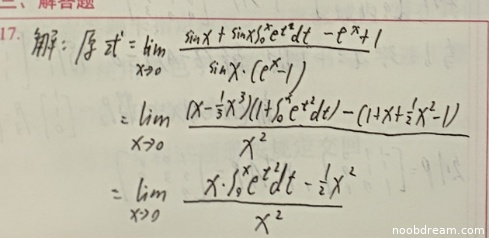
学生作答提供了两次识别结果,其中第一次识别结果存在明显的表达式错误(如分子中的积分表达式有误),但第二次识别结果完整且正确。
在第二次识别中,学生采用了正确的解题思路:
虽然解题步骤与标准答案不完全相同(标准答案使用了泰勒展开和极限运算,而学生使用了洛必达法则),但思路正确且最终结果正确。根据评分要求,思路正确不扣分。
第一次识别中的错误不影响评分,因为第二次识别提供了完整的正确解答。
得分:10分
题目总分:10分
登录后发布评论
暂无评论,来抢沙发