文章
449
粉丝
0
获赞
0
访问
221.8k

评分及理由
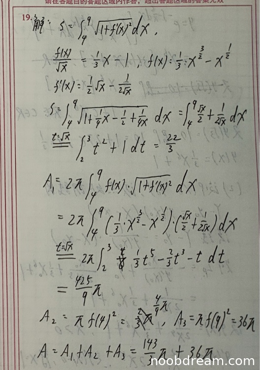
(1)S的得分及理由(满分5分)
学生第一次识别结果中,计算S时在化简平方项时出现错误:将\( [f'(x)]^2 = \frac{1}{4}(x - 2 + \frac{1}{x}) \) 误算为 \( \frac{1}{9}x - \frac{1}{2} + \frac{1}{9x} \),导致后续积分表达式错误。但第二次识别结果中,正确化简为 \( \frac{1}{4}x + \frac{1}{2} + \frac{1}{4x} \),并正确换元积分得到 \( S = \frac{22}{3} \)。根据"两次识别只要有一次正确不扣分"原则,S计算正确。得5分。
(2)A的得分及理由(满分5分)
学生错误地认为旋转体表面积需要加上两端圆面积 \( A_2 \) 和 \( A_3 \)。实际上,曲线绕x轴旋转形成的旋转体侧面积公式 \( A = 2\pi\int f(x)\sqrt{1+[f'(x)]^2}dx \) 已经包含了整个旋转面的面积,不需要再加两端圆面积。这是一个概念性逻辑错误。虽然第一次识别中计算 \( A_1 \) 的过程基本正确(得到 \( \frac{425}{9}\pi \)),但最终答案错误。第二次识别中同样存在此错误。扣3分。得2分。
题目总分:5+2=7分
登录后发布评论
暂无评论,来抢沙发