文章
149
粉丝
0
获赞
1
访问
81.1k

评分及理由
(1)得分及理由(满分5分)
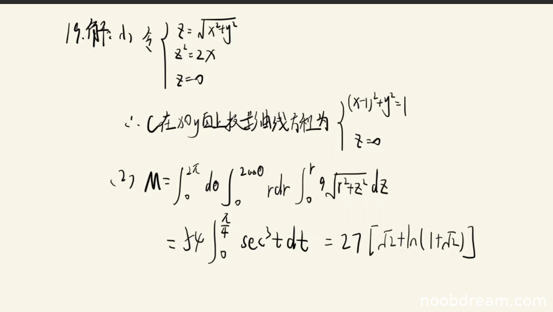
学生正确给出了投影曲线的方程:\(\begin{cases}(x-1)^2+y^2=1 \\ z=0\end{cases}\),与标准答案一致。虽然学生列出了三个方程(包含z=0),但投影曲线的定义就是z=0时的曲线方程,因此核心结果正确。得5分。
(2)得分及理由(满分5分)
学生在计算质量时存在以下问题: 1. 第一次识别结果中积分限\(\int_0^{2000}rdr\)明显错误(可能是识别错误) 2. 第二次识别结果中\(\int_0^{2\cos\theta}rdr\)的积分限正确,但后续计算采用了三重积分形式\(\int_0^r 9\sqrt{r^2+z^2}dz\),这是错误的思路 3. 标准答案是在曲面上进行面积分,而学生试图用三重积分计算,这是概念性错误 4. 最终结果\(27[\sqrt{2}+\ln(1+\sqrt{2})]\)与标准答案64不符 由于采用了错误的积分方法(三重积分而非曲面积分),且最终结果错误,扣4分。得1分。
题目总分:5+1=6分
登录后发布评论
暂无评论,来抢沙发