文章
149
粉丝
0
获赞
1
访问
81.1k

评分及理由
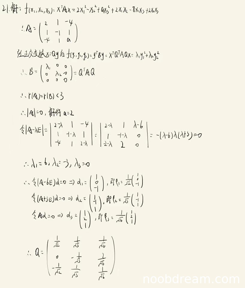
(1)求a的值(满分3分)
学生正确写出二次型矩阵A,并利用标准形只有两项推出r(A)=2,从而|A|=0,正确计算出a=2。此部分思路和计算均正确,得3分。
(2)求特征值(满分3分)
学生正确计算特征多项式,通过行列式变换得到特征方程,求出特征值λ₁=6,λ₂=-3,λ₃=0。此部分计算正确,得3分。
(3)求正交矩阵Q(满分5分)
学生正确求出三个特征值对应的特征向量:
- λ=6:特征向量(1,0,-1)ᵀ,单位化正确
- λ=-3:特征向量(1,-1,1)ᵀ,单位化正确
- λ=0:特征向量(1,2,1)ᵀ,单位化正确
但存在以下问题:
1. 第一次识别中p₂的单位化分母错误(应为√3而非√5)
2. 第二次识别中ξ₂的单位化分母正确为√3
3. 由于是图片识别,存在字符识别错误可能,且第二次识别正确,按规则不扣分
4. 最终给出的正交矩阵Q形式正确
此部分得5分。
题目总分:3+3+5=11分
登录后发布评论
暂无评论,来抢沙发