文章
149
粉丝
0
获赞
1
访问
81.1k

评分及理由
(1)得分及理由(满分4分)
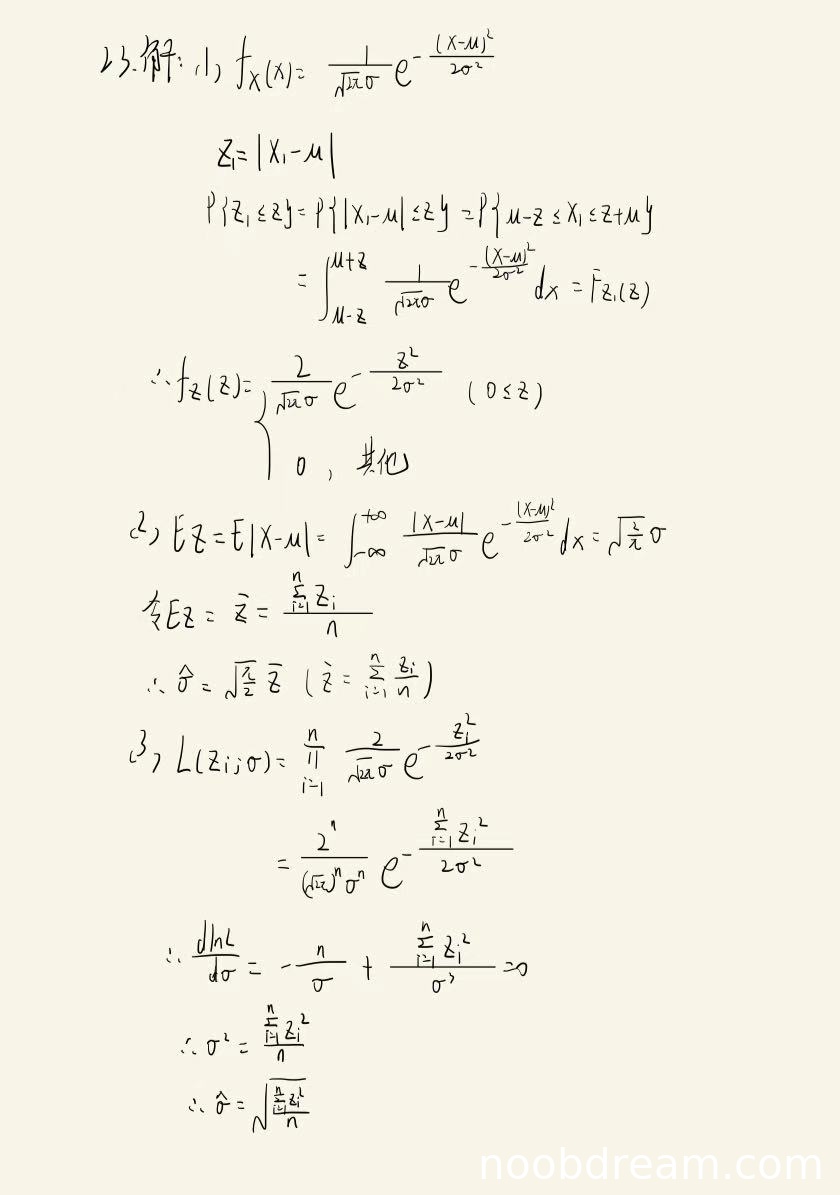
学生正确推导了Z_i的概率密度函数。通过分布函数求导得到概率密度,过程完整,结果正确。虽然第一次识别结果中分布函数推导过程略显简略,但第二次识别结果补充了完整过程。因此给满分4分。
(2)得分及理由(满分3分)
学生正确计算了EZ = √(2/π)σ,并利用一阶矩得到了矩估计量。虽然学生写的是√(π/2)z̄,这与标准答案的(√(2π)/2)z̄在数值上是相等的(因为√(π/2) = √(2π)/2)。这是一个等价表达,思路和结果都正确。因此给满分3分。
(3)得分及理由(满分4分)
学生正确建立了似然函数,进行了对数变换,求导并解出了最大似然估计量。推导过程完整,结果与标准答案一致。因此给满分4分。
题目总分:4+3+4=11分
登录后发布评论
暂无评论,来抢沙发