文章

285

粉丝

20

获赞

875

访问

180.9k

头像
2013年考研数学(二)考试试题 - 第16题回答
高等数学
发布于2025年10月17日 17:00
阅读数 598


评分及理由

(1)得分及理由(满分10分)

学生作答中,第1次识别结果和第2次识别结果的核心内容一致,均正确计算了旋转体体积并求解了参数a。具体分析如下:

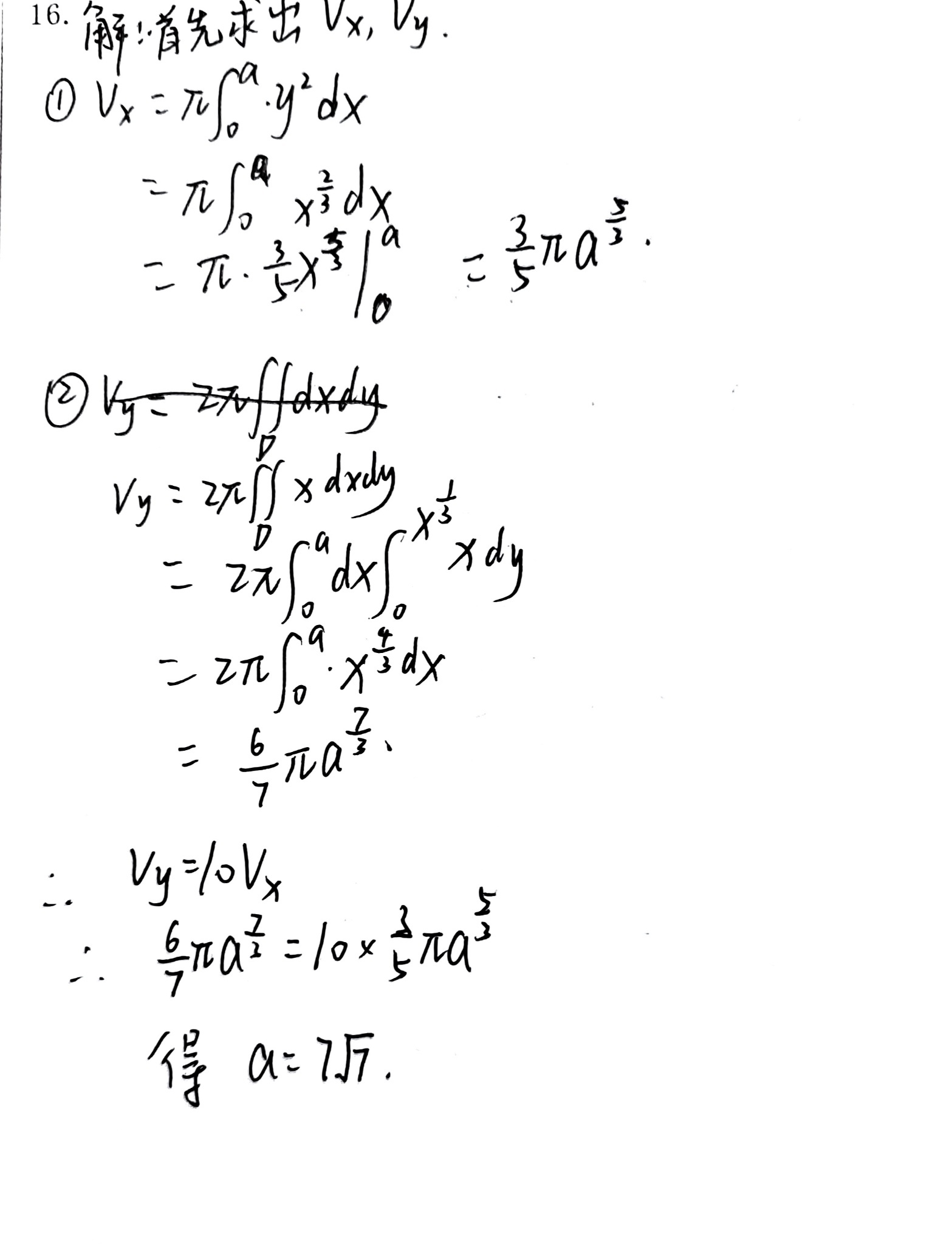
  • 对于绕x轴旋转的体积 \(V_x\),正确使用了圆盘法公式 \(\pi \int_0^a y^2 dx\),代入 \(y = x^{1/3}\) 后积分得到 \(\frac{3}{5}\pi a^{5/3}\),计算无误。
  • 对于绕y轴旋转的体积 \(V_y\),正确使用了柱壳法公式 \(2\pi \iint_D x dxdy\),并转化为累次积分 \(2\pi \int_0^a x \cdot x^{1/3} dx\),积分得到 \(\frac{6}{7}\pi a^{7/3}\),计算无误。
  • 根据条件 \(V_y = 10V_x\) 建立方程 \(\frac{6}{7}\pi a^{7/3} = 10 \times \frac{3}{5}\pi a^{5/3}\),化简后得到 \(a^{2/3} = 7\),解得 \(a = 7\sqrt{7}\),过程正确。

尽管第1次识别结果中出现了“\(V_y = 2\pi\iint_{D} dxdy\)”的书写错误(应为 \(V_y = 2\pi\iint_{D} x dxdy\)),但后续步骤正确,且第2次识别结果完全正确,根据“禁止扣分”规则中的第3条(两次识别中只要有一次正确则不扣分)和第4条(判断为误写不扣分),此错误不扣分。整体思路、公式应用和计算均正确,符合满分标准。

得分:10分

题目总分:10分

登录查看完整内容


登录后发布评论

暂无评论,来抢沙发