文章
285
粉丝
20
获赞
875
访问
180.8k

评分及理由
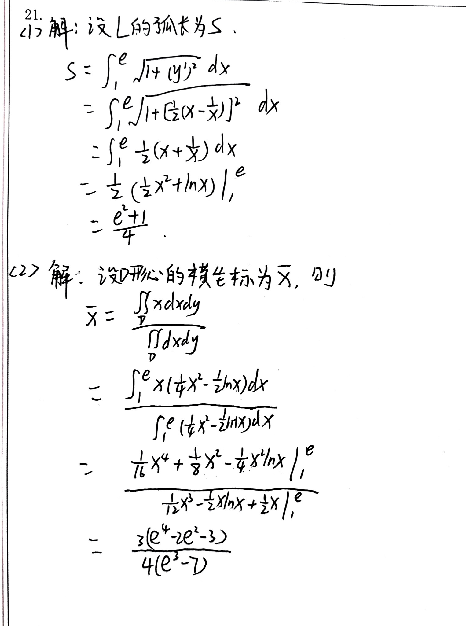
(1)得分及理由(满分5.5分)
学生正确计算了弧长。首先应用了弧长公式 \( S = \int_{1}^{e} \sqrt{1 + (y')^2} \, dx \),并正确求导得到 \( y' = \frac{1}{2}(x - \frac{1}{x}) \)。随后在化简根式时,正确得到 \( \sqrt{1 + [\frac{1}{2}(x - \frac{1}{x})]^2} = \frac{1}{2}(x + \frac{1}{x}) \),并正确积分得到 \( \frac{1}{2}(\frac{1}{2}x^2 + \ln x) \Big|_{1}^{e} \),最终结果为 \( \frac{e^2 + 1}{4} \),与标准答案一致。过程完整且正确,因此得满分5.5分。
(2)得分及理由(满分5.5分)
学生正确应用了形心横坐标公式 \( \overline{x} = \frac{\iint_D x \, dA}{\iint_D dA} \),并将其转化为定积分形式 \( \frac{\int_{1}^{e} x y \, dx}{\int_{1}^{e} y \, dx} \),其中 \( y = \frac{1}{4}x^2 - \frac{1}{2} \ln x \)。在计算分子和分母的积分时,学生给出了原函数表达式,并代入上下限计算,最终得到结果 \( \frac{3(e^4 - 2e^2 - 3)}{4(e^3 - 7)} \),与标准答案一致。尽管原函数表达式在书写上可能略有不同(如 \( \frac{1}{16}x^4 + \frac{1}{8}x^2 - \frac{1}{4}x^2 \ln x \) 和 \( \frac{1}{12}x^3 - \frac{1}{2}x \ln x + \frac{1}{2}x \)),但计算结果正确,且未影响最终答案,因此不扣分。得满分5.5分。
题目总分:5.5+5.5=11分
登录后发布评论
暂无评论,来抢沙发