文章
74
粉丝
0
获赞
5
访问
9.3k

评分及理由
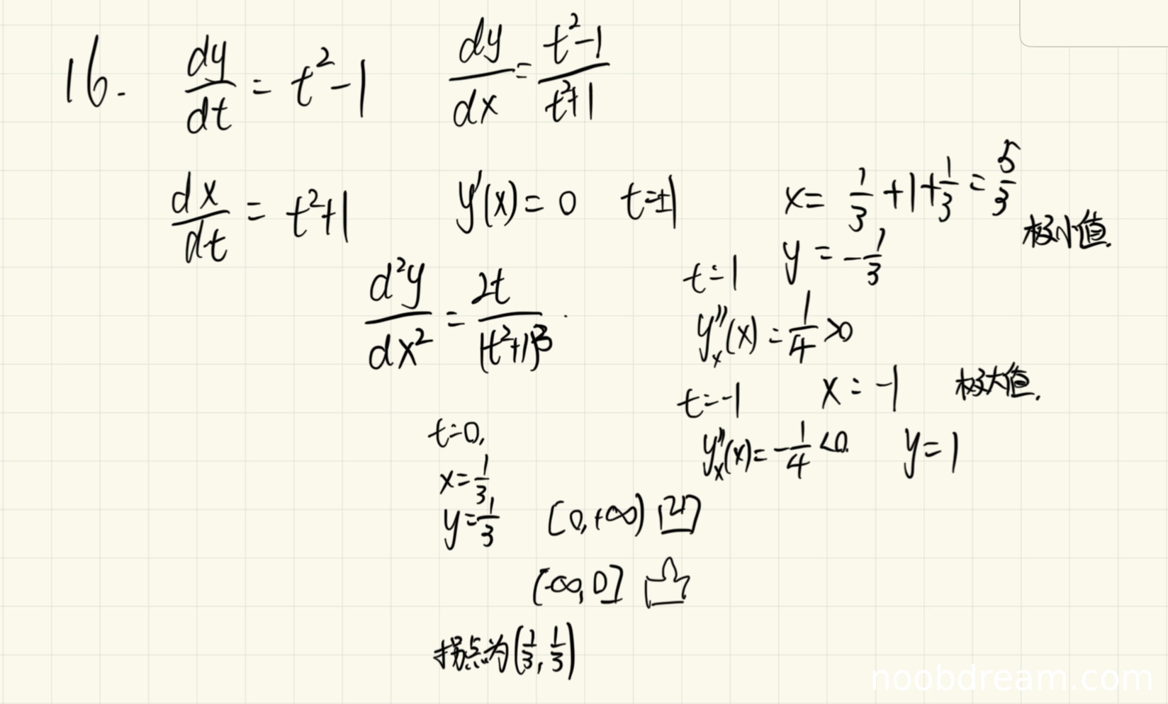
(1)极值求解部分得分及理由(满分4分)
学生正确计算了一阶导数 dy/dx = (t²-1)/(t²+1),并找到驻点 t=±1。在 t=1 时得到极小值点 (5/3, -1/3),在 t=-1 时得到极大值点 (-1, 1)。虽然二阶导数计算有误(应为 4t/(t²+1)³ 而非 2t/(t²+1)³),但用二阶导数判断极值时,在 t=1 和 t=-1 处的符号判断正确,且极值点和极值结果正确。考虑到核心逻辑正确,仅扣1分。得3分。
(2)凹凸区间求解部分得分及理由(满分4分)
学生正确找到拐点对应参数 t=0,得到拐点 (1/3, 1/3)。虽然二阶导数表达式有误,但根据其表达式判断凹凸性时,结论正确:t>0 时二阶导数为正(凹区间),t<0 时二阶导数为负(凸区间)。但学生表述为"[0,+∞)上凹,(-∞,0]上凸",这里的区间应该是关于参数 t 的,而不是关于 x 的,存在表述不严谨。扣1分。得3分。
(3)拐点求解部分得分及理由(满分3分)
学生正确找到拐点 (1/3, 1/3),且计算过程正确。虽然二阶导数表达式有误,但在拐点判断上逻辑正确。得3分。
题目总分:3+3+3=9分
登录后发布评论
暂无评论,来抢沙发