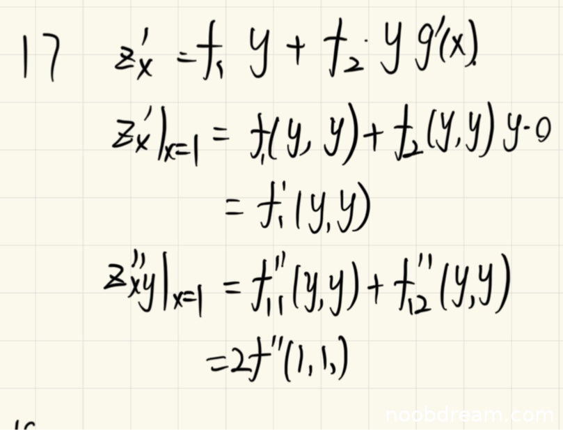
2011年考研数学(二)考试试题 - 第17题回答
高等数学
发布于2025年10月19日 21:37
阅读数 132

评分及理由
(1)得分及理由(满分10分)
学生作答提供了两次识别结果,但都存在逻辑错误。
第一次识别中:
- 一阶偏导数 \( z_x' \) 的表达式错误:应为 \( f_1' y + f_2' y g'(x) \)(注意第二项中多了一个 \( y \)),但学生写成了 \( f_1' y + f_2' y g'(x) \)(这里 \( t_1, t_2 \) 应理解为 \( f_1', f_2' \)),实际上第二项应为 \( f_2' \cdot g'(x) \),没有额外的 \( y \)。
- 在 \( x=1 \) 处代入时,虽然正确使用了 \( g'(1)=0 \),但一阶偏导结果 \( f_1'(y,y) \) 正确。
- 二阶混合偏导计算错误:学生计算 \( z_{xy}''|_{x=1} = f_{11}''(y,y) + f_{12}''(y,y) \),但正确应为 \( f_1' + y f_{11}'' + y f_{12}'' g(x) \) 在 \( x=1, y=1 \) 处的值,由于 \( g'(1)=0 \),简化后应为 \( f_1'(1,1) + f_{11}''(1,1) \)。学生漏掉了 \( f_1' \) 项,并且错误地将结果写为 \( 2f''(1,1,1) \),符号混乱。
第二次识别中:
- 一阶偏导数 \( z_x' \) 的表达式完全错误:学生认为 \( z = f(y, y g(x)) \),但题目是 \( z = f(xy, y g(x)) \),因此第一项不应为0,而应是 \( f_1' \cdot y \)。
- 后续计算基于错误的一阶偏导,导致全部错误。
由于两次识别均存在根本性逻辑错误,且未得到正确答案,因此本题得分应扣除主要分数。考虑到学生正确使用了 \( g'(1)=0 \) 这一条件,但在核心的偏导数计算上错误,给予部分分数。
得分:3分(满分10分)
题目总分:3分
登录后发布评论
暂无评论,来抢沙发