2011年考研数学(二)考试试题 - 第20题回答
高等数学
发布于2025年10月19日 21:37
阅读数 259

评分及理由
(Ⅰ)得分及理由(满分5.5分)
学生答案:0分
理由:
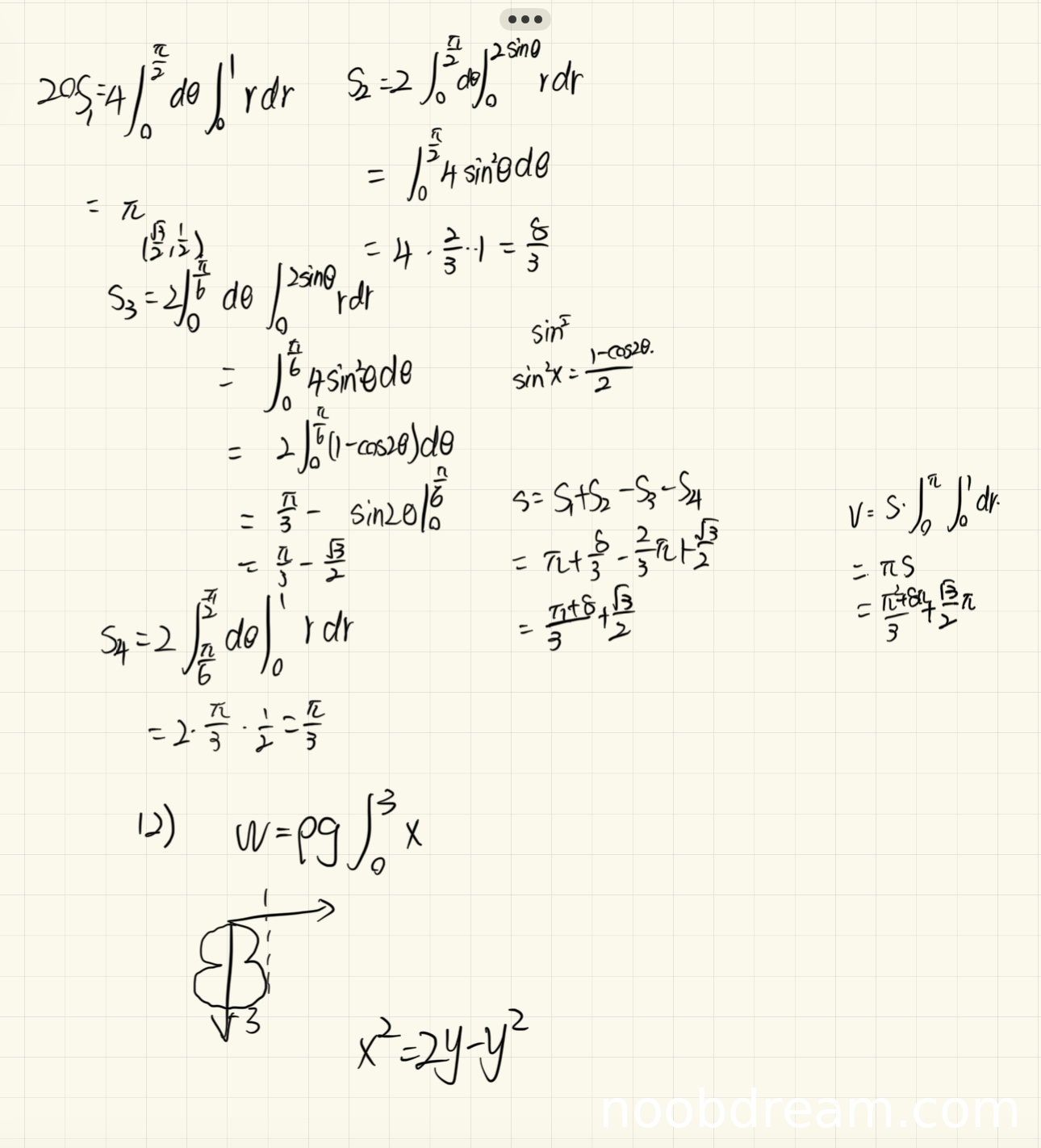
- 学生使用了极坐标计算面积的方法,但题目要求的是旋转体体积,应该使用旋转体体积公式(圆盘法或柱壳法)。
- 计算出的面积S和体积V与正确答案完全不符,说明基本思路错误。
- 旋转体体积应该由两部分组成:上半部分(y从1/2到1)绕y轴旋转和下半部分(y从1/2到1)绕y轴旋转,但学生完全没有采用这种正确思路。
- 最终体积计算结果为\(\frac{5\pi^{2}}{6}+\frac{\sqrt{3}\pi}{2}\),与正确答案\(\frac{9}{4}\pi\)相差很大。
(Ⅱ)得分及理由(满分5.5分)
学生答案:0分
理由:
- 由于第(Ⅰ)问的体积计算完全错误,导致第(Ⅱ)问的基础数据错误。
- 功的计算表达式不完整,只有\(W=\rho g\int_{0}^{3}x\),缺少被积函数的完整表达式。
- 没有正确建立功的积分表达式,应该考虑将不同高度的水抽出所需做的功,积分区间和积分表达式都不正确。
- 给出的\(x^{2}=2y-y^{2}\)只是曲线方程的一部分,没有完整应用。
题目总分:0+0=0分
登录后发布评论
暂无评论,来抢沙发