文章

116

粉丝

0

获赞

5

访问

49.2k

头像
2011年考研数学(二)考试试题 - 第22题回答
线性代数
发布于2025年10月19日 21:37
阅读数 587


评分及理由

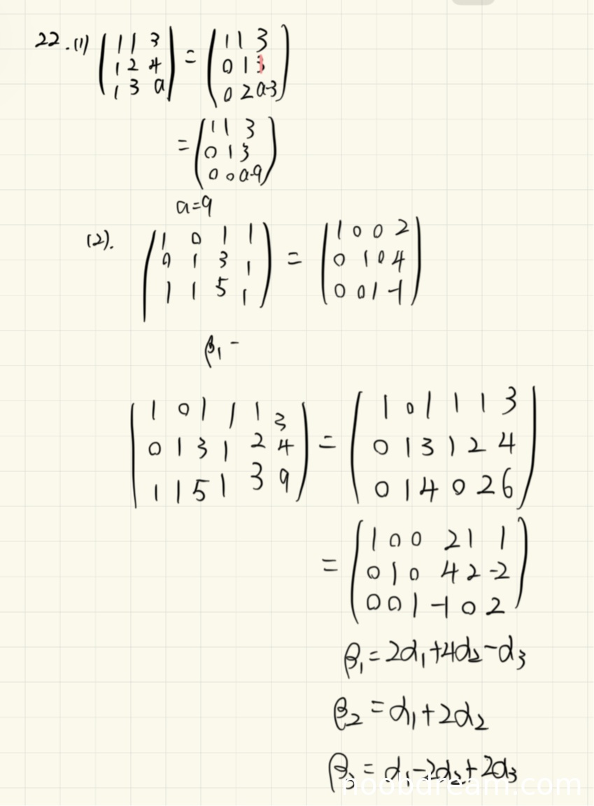
(1)得分及理由(满分5分)

学生答案中第一问计算a值时,初等行变换过程正确,但最后一步将a-5=0误写为a-5=4,导致解得a=9错误。标准答案为a=5。由于核心逻辑错误(秩的判断正确但计算错误),扣3分。得2分。

(2)得分及理由(满分6分)

第二问中,学生使用初等行变换方法正确,变换过程基本合理。但由于第一问a值错误(a=9而非5),导致β₃的最后一列数据错误(应为5而非9),最终结果β₁、β₂表达式正确,β₃表达式错误。因方法正确但受第一问错误影响,扣2分。得4分。

题目总分:2+4=6分

登录查看完整内容


登录后发布评论

暂无评论,来抢沙发