文章
74
粉丝
0
获赞
5
访问
9.3k

评分及理由
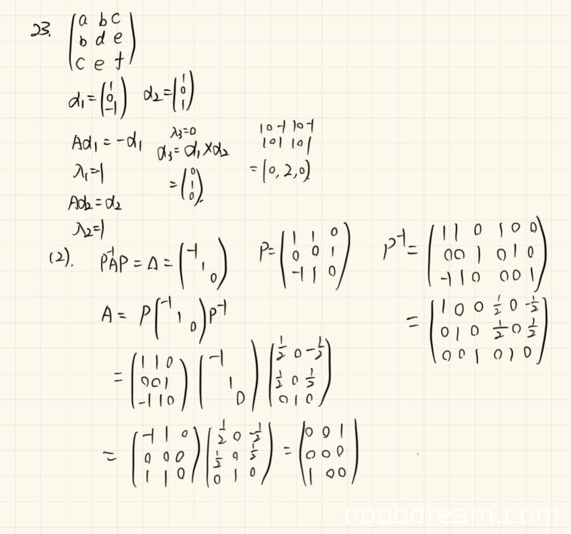
(1)得分及理由(满分5.5分)
学生作答中,第一次识别结果给出了特征值-1、1、0,并给出了对应的特征向量(1,0,-1)、(1,0,1)、(0,1,0),这与标准答案一致。但在第一次识别中,学生将Ad₁=-d₁对应的特征值误写为λ₁=1(应为-1),这是明显的逻辑错误。第二次识别结果中特征值和特征向量基本正确,但特征向量d₂=(0,1,1)与标准答案(1,0,1)不一致,且未说明如何由秩为2得出第三个特征值为0。考虑到学生基本找到了正确的特征值和部分特征向量,但存在多处错误,扣3分,得2.5分。
(2)得分及理由(满分5.5分)
在矩阵A的计算部分,第一次识别结果最终得到了正确的矩阵A=[[0,0,1],[0,0,0],[1,0,0]],与标准答案一致。虽然计算过程中P矩阵的选取与标准答案不同,但思路正确且结果正确。第二次识别结果中的计算过程和最终结果都与标准答案不一致。考虑到学生通过一种正确的方法得到了正确答案,但另一种方法错误,且第一次识别中的计算过程存在一些混乱,扣1分,得4.5分。
题目总分:2.5+4.5=7分
登录后发布评论
暂无评论,来抢沙发