文章

509

粉丝

0

获赞

1

访问

202.2k

头像
2014年考研数学(二)考试试题 - 第11题回答
高等数学
发布于2025年10月20日 11:09
阅读数 532


评分及理由

(1)得分及理由(满分4分)

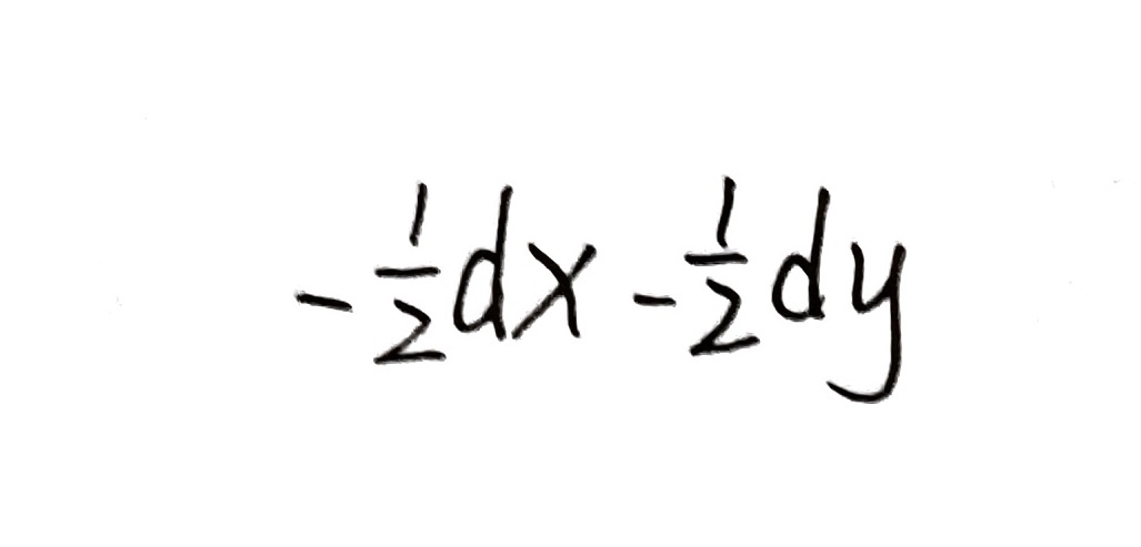
学生两次识别结果均为:$-\frac{1}{2}dx - \frac{1}{2}dy$,这与标准答案 $-\frac{1}{2}(dx+dy)$ 在数学上完全等价。根据评分要求,思路正确且结果与标准答案等价的不扣分。虽然表达形式略有不同,但数学含义一致,因此得满分4分。

题目总分:4分

登录查看完整内容


登录后发布评论

暂无评论,来抢沙发