文章

509

粉丝

0

获赞

1

访问

202.2k

头像
2014年考研数学(二)考试试题 - 第15题回答
高等数学
发布于2025年10月20日 11:09
阅读数 654


评分及理由

(1)得分及理由(满分10分)

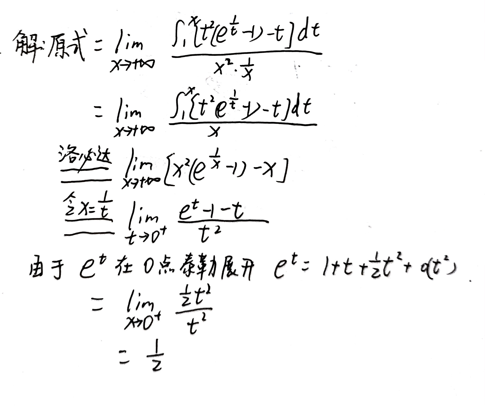
学生作答整体思路正确,使用了洛必达法则、变量代换和泰勒展开等方法求解极限。具体分析如下:

  • 第一步化简分母时,正确使用了等价无穷小替换 \(\ln(1+\frac{1}{x}) \sim \frac{1}{x}\),这一步正确。
  • 第二步应用洛必达法则处理\(\frac{\infty}{\infty}\)型极限,分子求导得到被积函数,分母求导得到1,这一步正确。
  • 第三步进行变量代换 \(x = \frac{1}{t}\),将原极限转化为 \(\lim_{t \to 0^+} \frac{e^t - 1 - t}{t^2}\),这一步正确。
  • 第四步使用泰勒展开 \(e^t = 1 + t + \frac{1}{2}t^2 + o(t^2)\) 计算极限,得到正确结果 \(\frac{1}{2}\)。

虽然标准答案中使用了不同的变量代换方式(令 \(t = \frac{1}{x}\)),但学生的解法思路正确且完整,最终结果正确。根据评分要求,思路正确不扣分。

得分:10分

题目总分:10分

登录查看完整内容


登录后发布评论

暂无评论,来抢沙发