文章
509
粉丝
0
获赞
1
访问
202.2k

评分及理由
(1)得分及理由(满分11分)
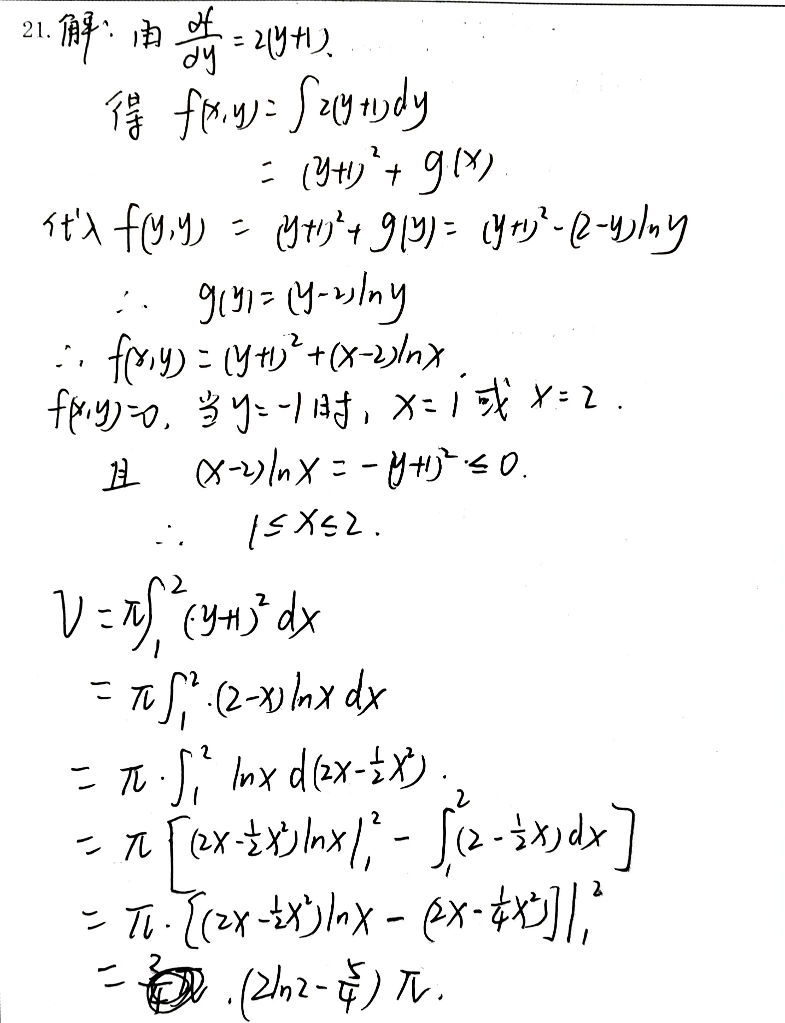
学生作答在步骤一中正确求解了函数表达式:由偏导数积分得到 \(f(x,y) = (y+1)^2 + g(x)\),并利用条件 \(f(y,y)\) 确定 \(g(x) = (x-2)\ln x\),最终得到 \(f(x,y) = (y+1)^2 + (x-2)\ln x\)。此部分与标准答案一致,逻辑正确,不扣分。
步骤二中正确分析了曲线 \(f(x,y)=0\) 对应的 \(x\) 范围,通过代入 \(y=-1\) 得到 \(x=1\) 和 \(x=2\),并利用不等式 \((x-2)\ln x \leq 0\) 确定积分区间为 \([1,2]\),此部分正确,不扣分。
步骤三中正确应用旋转体体积公式(绕 \(y=-1\) 旋转,使用圆盘法),体积为 \(V = \pi \int_{1}^{2} (y+1)^2 dx\),并代入曲线方程 \((y+1)^2 = (2-x)\ln x\) 得到积分表达式。积分计算过程正确,包括分部积分和定积分求值,最终结果为 \(\pi(2\ln 2 - \frac{5}{4})\),与标准答案一致。
尽管学生作答在第一次识别结果中积分符号书写有轻微不规范(如 \(d(2x-\frac{1}{2}x^2)\) 应为 \(d(2x - \frac{x^2}{2})\)),但根据上下文可判断为误写,且不影响逻辑和结果,因此不扣分。第二次识别结果补充了详细步骤,无逻辑错误。
综上,学生作答核心逻辑正确,计算准确,得满分11分。
题目总分:11分
登录后发布评论
暂无评论,来抢沙发