文章
480
粉丝
0
获赞
1
访问
66.1k

评分及理由
(1)得分及理由(满分5分)
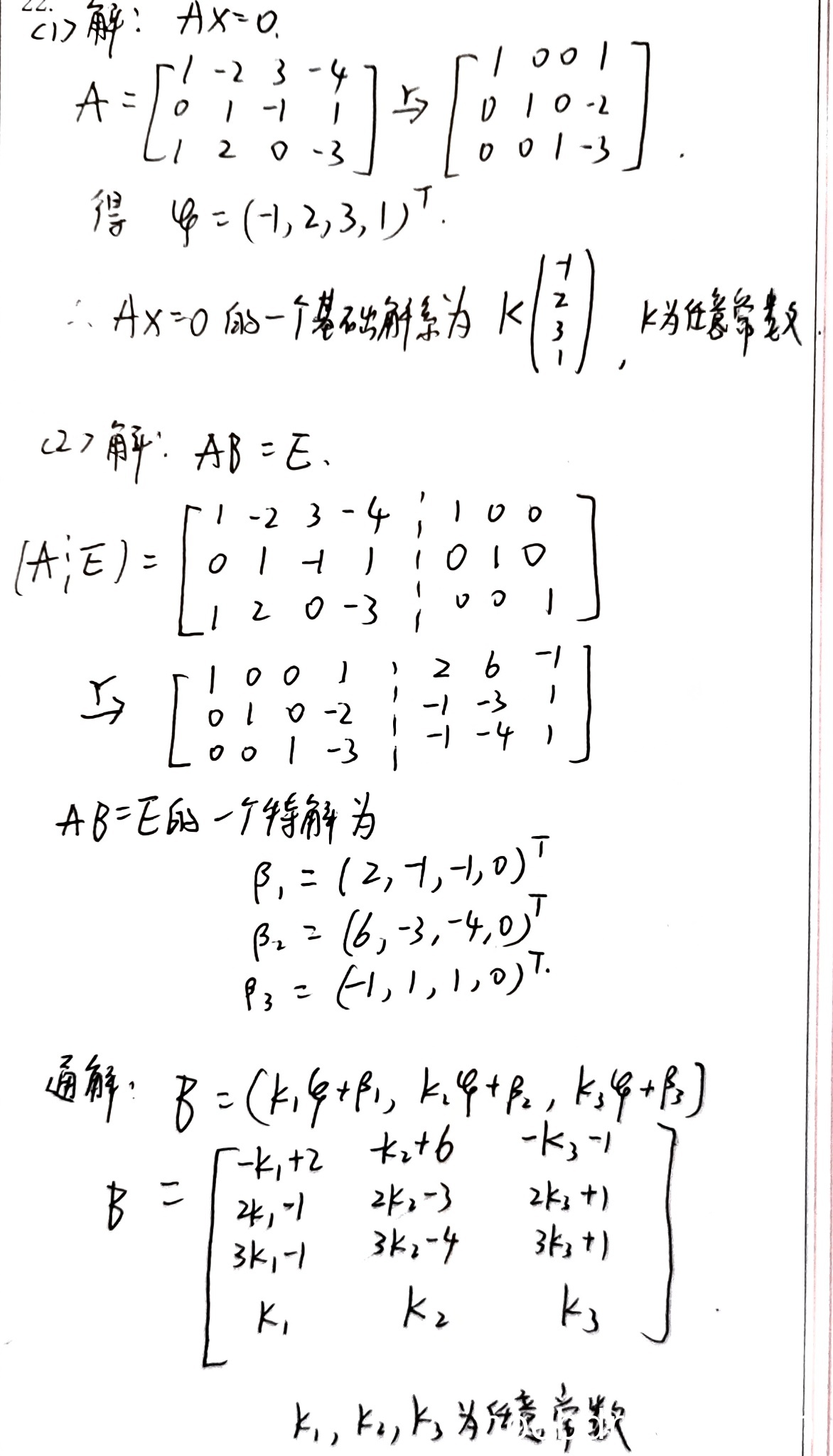
学生答案中矩阵A的最后一个元素识别为-3(原题为3),但在后续行变换中得到了与标准答案相同的结果,说明计算过程正确。基础解系形式正确,但表述为"k(-1,2,3,1)^T"不够规范,基础解系应该是一个向量组而非带参数的向量。由于核心计算正确,仅扣1分。
得分:4分
(2)得分及理由(满分6分)
学生正确进行了增广矩阵的行变换,得到了与标准答案相同的简化形式。特解β₁,β₂,β₃计算正确。通解结构理解正确,但在第二次识别结果中出现了"k₁ξ+β₁,k₁ξ+β₂"的笔误(应为k₁ξ+β₁,k₂ξ+β₂)。最终B矩阵表达式基本正确,仅有个别符号差异。
得分:5分
题目总分:4+5=9分
登录后发布评论
暂无评论,来抢沙发