2025年考研数学(一)考试试题 - 第17题回答
高等数学
发布于2025年10月20日 11:24
阅读数 156

评分及理由
(1)第1次识别结果得分及理由(满分10分)
得分:6分
理由:
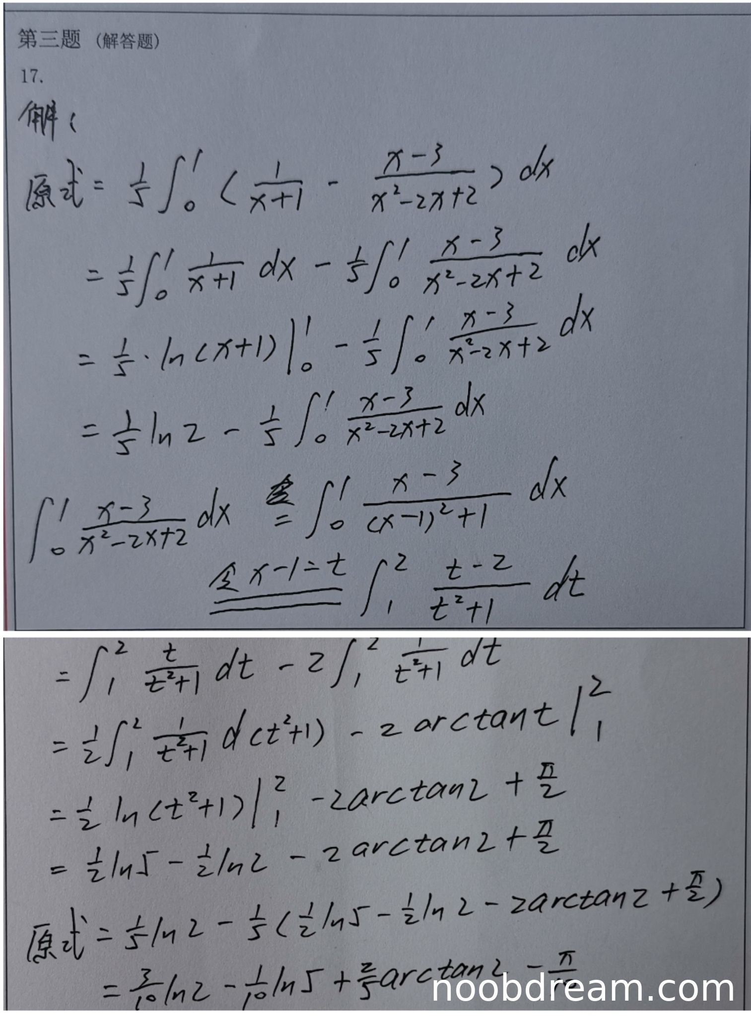
- 部分分式分解正确:识别出了正确的分解形式 \(\frac{1}{5}\left(\frac{1}{x+1}-\frac{x-3}{x^2-2x+2}\right)\)
- 第一部分积分计算正确:\(\frac{1}{5}\ln2\)
- 换元积分思路正确:令 \(x-1=t\)
- 逻辑错误1:换元后积分上下限错误,应为从-1到0,但学生写成了从1到2
- 逻辑错误2:由于积分限错误,导致后续计算全部错误,最终结果与标准答案不符
- 扣分:积分限错误属于严重逻辑错误,扣4分
(2)第2次识别结果得分及理由(满分10分)
得分:0分
理由:
- 逻辑错误1:部分分式分解系数错误,写成了\(\frac{1}{2}\)而不是正确的\(\frac{1}{5}\)
- 逻辑错误2:换元后积分计算错误,\(\int_{-1}^{1}\frac{t}{t^2+1}dt\)在对称区间上应为0,但学生计算过程混乱
- 逻辑错误3:最终结果\(\frac{1}{2}\ln2+\frac{\pi}{2}\)与标准答案\(\frac{3}{10}\ln2+\frac{1}{10}\pi\)完全不同
- 扣分:从分解开始就出现根本性错误,后续计算也完全错误,得0分
题目总分:6+0=6分
登录后发布评论
暂无评论,来抢沙发